Integral velocity/time problem

  • Thread starter Thread starter phillyolly
  • Start date Start date
  • Tags Tags
    Integral
Click For Summary

Homework Help Overview

The discussion revolves around estimating the distance traveled by a car based on its velocity graph as it accelerates from rest to 120 km/h over 30 seconds. Participants are analyzing the approach to calculating this distance using different estimation methods.

Discussion Character

  • Exploratory, Assumption checking, Mathematical reasoning

Approaches and Questions Raised

  • Participants discuss the use of lower and upper estimates, as well as midpoint methods for calculating distance. There are questions about the correctness of the time intervals used and the conversion of time units from seconds to hours.

Discussion Status

Some participants have provided feedback on the original poster's attempts, pointing out errors in the time intervals and suggesting corrections. There is ongoing refinement of the calculations based on peer input, with some estimates appearing to be more accurate than others.

Contextual Notes

Participants note discrepancies in the time intervals used in the calculations and emphasize the importance of using consistent units for time and distance. The original poster has been encouraged to revise their work based on the feedback received.

phillyolly
Messages
157
Reaction score
0
I have completed a problem and would like you to check it and see if I got it right.

Homework Statement


The velocity graph of a car accelerating from rest to a speed of 120 km/h over a period of 30 seconds is shown. Estimate the distance traveled during this period

Here is the graph, where a=40 http://www.webassign.net/scalcet/5-1-016alt.gif

The Attempt at a Solution



You will see a print screen of my work. Did I do correctly that I put together a lower and upper estimates and divided the sum by 2 in order to estimate the distance traveled? I believe I made a mistake.
 

Attachments

  • 22222.jpg
    22222.jpg
    30.3 KB · Views: 3,213
Physics news on Phys.org
phillyolly said:
I have completed a problem and would like you to check it and see if I got it right.

Homework Statement


The velocity graph of a car accelerating from rest to a speed of 120 km/h over a period of 30 seconds is shown. Estimate the distance traveled during this period

Here is the graph, where a=40 http://www.webassign.net/scalcet/5-1-016alt.gif

The Attempt at a Solution



You will see a print screen of my work. Did I do correctly that I put together a lower and upper estimates and divided the sum by 2 in order to estimate the distance traveled? I believe I made a mistake.

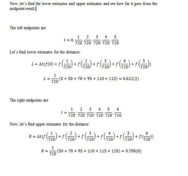
Your endpoints are all wrong. You have 0, .5, 1.0, 1.5, 2.0, 2.5, 3.0. In the graph they are 0, 5, 10, 15, 20, 25, 30 seconds. In both estimates you should have \Delta t, not \Delta x. x should not appear in your work.

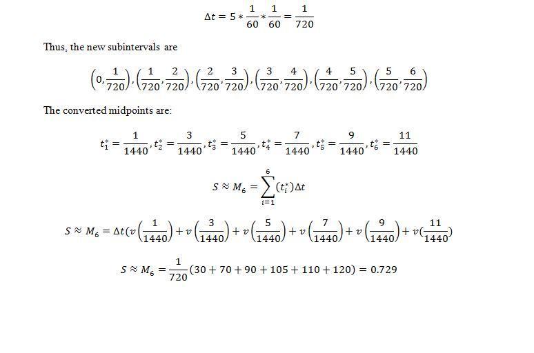
Since the velocities are in km/hr, your time units should be in hours, not seconds. 5 seconds = 5 sec X 1 min/60 sec X 1 hr/60 min = 1/720 hr. This is your \Delta t. The distance will be in km.
 
Thank you a lot for the notes.
 
Here is my revised version. Please can you check this one?
I have two solutions: the first one is for midpoints.
The second one is for lower and upper estimates.

Thanks
 

Attachments

  • Problem-description.jpg
    Problem-description.jpg
    18 KB · Views: 2,512
  • Midpoint-solution.jpg
    Midpoint-solution.jpg
    26.6 KB · Views: 2,301
  • Lower-upper-estim-solution.jpg
    Lower-upper-estim-solution.jpg
    26.6 KB · Views: 2,256
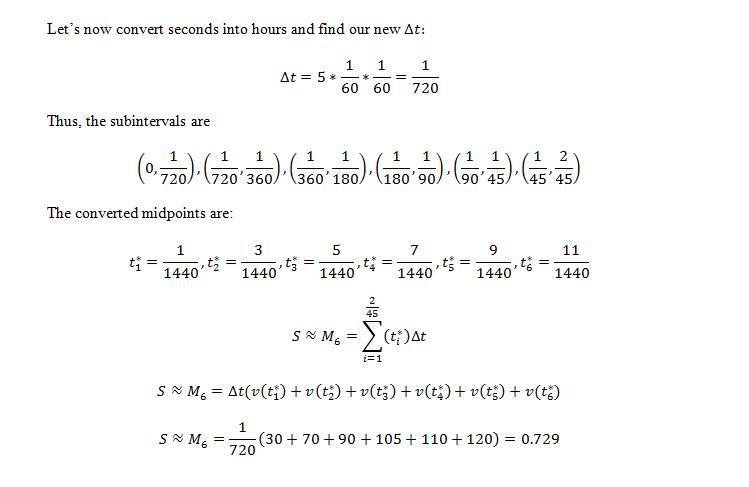
You still have quite a few mistakes. In the 2nd image, your summation should go from i = 1 to i = 6, not 2/45. In the second and third images, there are numerous errors in the converted times. From the graph, the times are 0, 5, 10, 15, 20, 25, and 30 seconds.
5 sec = 1/720 hr
10 sec = 2/720 hr
15 sec = 3/720 hr
...
30 sec = 6/720 hr
Several of your reduced fractions are wrong. For example, 6/720 \neq 1/10 hr.
 
OK, based on your suggestions, I have completed the assignment. I hope that this time I did it correctly. Please take a look.
 

Attachments

  • Midpoint-solution.jpg
    Midpoint-solution.jpg
    27.7 KB · Views: 2,957
  • Lower-upper-estim-solution.jpg
    Lower-upper-estim-solution.jpg
    30.4 KB · Views: 2,340
The three estimates look good. The only thing I would add is the distance units.
 

Similar threads

  • · Replies 2 ·
Replies
2
Views
2K
  • · Replies 22 ·
Replies
22
Views
5K
  • · Replies 8 ·
Replies
8
Views
5K
  • · Replies 1 ·
Replies
1
Views
2K
  • · Replies 5 ·
Replies
5
Views
2K
  • · Replies 2 ·
Replies
2
Views
1K
  • · Replies 12 ·
Replies
12
Views
2K
  • · Replies 13 ·
Replies
13
Views
2K
  • · Replies 1 ·
Replies
1
Views
11K
  • · Replies 11 ·
Replies
11
Views
4K