Integration Help: Pls Explain Attached Picture

  • Context: Undergrad 
  • Thread starter Thread starter jderulo
  • Start date Start date
  • Tags Tags
    Integration
Click For Summary

Discussion Overview

The discussion revolves around understanding the integration of a specific function as presented in an attached picture. Participants are seeking clarification on the steps involved in solving the integral, with references to calculus concepts and techniques.

Discussion Character

  • Technical explanation
  • Mathematical reasoning
  • Homework-related

Main Points Raised

  • Some participants suggest treating TC as a constant and TB as the variable of integration, indicating that this approach is based on concepts learned in Calculus I.
  • One participant mentions the integral of the form \(\int_a^b \frac{dx}{c-x}\) and proposes a substitution \(u = c - x\) to facilitate integration.
  • Another participant points out confusion regarding the format of the integral, questioning its alignment with the standard form \(\int \frac{dx}{x} = \ln x + C\).
  • There is a discussion about the conditions under which the integral can be evaluated, particularly when \(c\) is outside the interval \([a,b]\) or when it falls within that interval, leading to potential discontinuities.
  • A later reply emphasizes the importance of understanding the logarithmic function's argument in relation to physical quantities.

Areas of Agreement / Disagreement

Participants express varying levels of understanding and confusion regarding the integration process and the specific integral format. There is no consensus on the correct approach or resolution of the confusion presented.

Contextual Notes

Some participants note the need for substitutions and the implications of discontinuities in the integral, but these points remain unresolved and depend on the specific conditions of the integral being discussed.

jderulo
Messages
34
Reaction score
0
Int.png
Hi

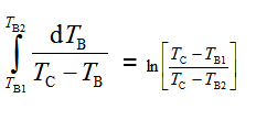
Pls can anyone explain how the attached picture was worked out?

Thanks
 
Last edited by a moderator:
Physics news on Phys.org
jderulo said:
Hi

Pls can anyone explain how the attached picture was worked out?

Thanks
You should be able to work this integral out by using what you learned in Calc I.

Treat TC as a constant and take TB to be the variable of integration.

After you find the antiderivative, substitute the limits and use the rules of logarithms to obtain the final result. That's all there is to it.

BTW, if you haven't learned this, ##\int \frac{dx}{x}= ln\,x + C##
 
Perhaps you have seen [itex]\int_a^b \frac{dx}{c- x}[/itex]. To integrate that let u= c- x so du= -dx.
 
SteamKing said:
You should be able to work this integral out by using what you learned in Calc I.

Treat TC as a constant and take TB to be the variable of integration.

After you find the antiderivative, substitute the limits and use the rules of logarithms to obtain the final result. That's all there is to it.

BTW, if you haven't learned this, ##\int \frac{dx}{x}= ln\,x + C##

Bit confused as the equation isn;t in the format ##\int \frac{dx}{x}= ln\,x + C## ??
 
Let's look at what happens on [itex]\int_a^b \frac{dx}{c- x}[/itex], and you'll do the necessary substitutions later.

  1. If ## c \notin [a,b]##, then you are integrating a continuous function on ##[a,b]##. In this case, there is no discussion needed, and the theory says your integral is equal to ##F(b) - F(a)##, where ##F## is an antiderivative of ##\frac{1}{c-x}##.
    If ## b < c ## then you can choose ##F(x) = - \ln(c-x) ##
    If ## c < a ## then you can choose ##F(x) = - \ln(x - c) ##
    In any case, you can choose ##F(x) = -\ln |c-x| ## and [itex]\int_a^b \frac{dx}{c- x} = F(b) - F(a) = \ln |\frac{ c-a }{c-b}| = \ln \frac{ c-a }{c-b}[/itex]
  2. If ##c\in[a,b]##, then there is a discontinuity at ##x=c##, and it can be shown that ##\frac{1}{c-x}## is not integrable. That's why I think you are in case (1) given the answer.
 
jderulo said:
Bit confused as the equation isn;t in the format ##\int \frac{dx}{x}= ln\,x + C## ??
Just how much integral calculus have you studied?
 
A primitive for the inverse is the natural logaritm, it is important understand how the module work in the argument of logaritm in relation of your physical quantities...
 

Similar threads

  • · Replies 2 ·
Replies
2
Views
2K
  • · Replies 10 ·
Replies
10
Views
3K
  • · Replies 3 ·
Replies
3
Views
2K
  • · Replies 3 ·
Replies
3
Views
3K
  • · Replies 3 ·
Replies
3
Views
3K
  • · Replies 3 ·
Replies
3
Views
2K
  • · Replies 2 ·
Replies
2
Views
2K
  • · Replies 5 ·
Replies
5
Views
2K
  • · Replies 3 ·
Replies
3
Views
4K
  • · Replies 8 ·
Replies
8
Views
4K