Integration of a trig function

Click For Summary

Homework Help Overview

The discussion revolves around the integration of a trigonometric function, specifically involving the tangent and secant functions. Participants are exploring various methods to tackle the integration problem without arriving at a final solution.

Discussion Character

  • Exploratory, Mathematical reasoning, Assumption checking

Approaches and Questions Raised

  • Participants share multiple attempts at solving the integration problem, with some using substitutions and others applying partial fractions. There are discussions about errors in differentiation and the correct formulation of the differential.

Discussion Status

The conversation is active, with participants providing feedback on each other's methods and identifying errors. There is no clear consensus on a single approach, but several lines of reasoning are being explored, indicating a productive exchange of ideas.

Contextual Notes

Some participants note specific errors in differentiation and the handling of differentials, which are under discussion. The nature of the homework constraints or specific rules is not detailed, but the focus remains on understanding the integration process.

chwala
Gold Member
Messages
2,841
Reaction score
428
Homework Statement
##\int\frac {tan x}{1+ cos^2x}dx##
Relevant Equations
integration
1610142259269.png

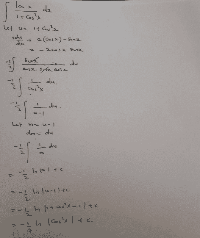
This is my first attempt ...
 
Last edited:
Physics news on Phys.org
1610143868268.png

my second attempt...
 
Last edited:
1610144392604.png


My third attempt...bingo, I got it!
 
Last edited:
  • Like
Likes   Reactions: Charles Link and SammyS
Your method works, but I did it with ## \tan{x}=\sin{x}/\cos{x} ##, and ## \sin{x} \, dx=-d \cos{x} ##.
With ## u=\cos{x} ##, the problem then becomes an exercise in partial fractions, and it also gets the same answer as that of the above post.
 
  • Like
Likes   Reactions: chwala
chwala said:
my other approach...
Capture_Chwala.PNG
This works nicely, but you have an error in differentiating.

The derivative of ##\sec x ## is ##\tan x \cdot \sec x##,

so that ##du=2\tan x \cdot \sec^2 x \ dx##.

The rest of the work will follow nicely from that.
 
Yeah I noticed that...thanks slight error, I left out ##dx##
 
chwala said:
Yeah I noticed that...thanks slight error, I left out ##dx##
You also missed squaring the secant function.
 
SammyS said:
You also missed squaring the secant function.
I think you are looking at the wrong page, check my post number ##3##
 
chwala said:
I think you are looking at the wrong page, check my post number ##3##
No. My replies are referring to Post # 2.

You have the following:
Capture_Chwala.PNG

But you have an error in du.

It should be ##du=2\tan x \cdot \sec^2 x \ dx ## .

Thus your integral becomes ##\displaystyle \frac 1 2 \int \frac{du}{u} ## .

Etc.
 
Last edited:
  • #10
SammyS said:
No. My replies are referring to Post # 2.

You have the following:
View attachment 275901
But you have an error in du.

It should be ##du=2\tan x \cdot \sec^2 x \ dx ## .

Thus your integral becomes ##\displaystyle \frac 1 2 \int \frac{du}{u} ## .

Etc.

Noted cheers...
 

Similar threads

  • · Replies 2 ·
Replies
2
Views
1K
  • · Replies 5 ·
Replies
5
Views
2K
  • · Replies 3 ·
Replies
3
Views
2K
Replies
4
Views
2K
  • · Replies 18 ·
Replies
18
Views
4K
Replies
3
Views
1K
  • · Replies 5 ·
Replies
5
Views
2K
  • · Replies 6 ·
Replies
6
Views
2K
Replies
14
Views
2K
Replies
5
Views
2K