Integration Problem Solution - S.P. Thomson's Calculus Made Easy

  • Thread starter Thread starter tomwilliam
  • Start date Start date
  • Tags Tags
    Integration
Click For Summary

Homework Help Overview

The discussion revolves around an integration problem from S. P. Thomson's "Calculus Made Easy." Participants are examining the equivalence of different expressions resulting from the integration process.

Discussion Character

  • Exploratory, Mathematical reasoning, Assumption checking

Approaches and Questions Raised

  • The original poster attempts to verify the equivalence of their answer with a solution provided by Mathcad, questioning the correctness of their approach and seeking alternative methods to solve the problem.

Discussion Status

Some participants confirm the correctness of both the original poster's answer and the book's solution, while others explore the representation of the answers in logarithmic form. There appears to be productive engagement regarding the mathematical properties of logarithms.

Contextual Notes

The original poster expresses a desire for clarification on the equivalence of their solution and the potential for a quicker method than partial fractions, indicating a focus on efficiency in problem-solving.

tomwilliam
Messages
142
Reaction score
3

Homework Statement


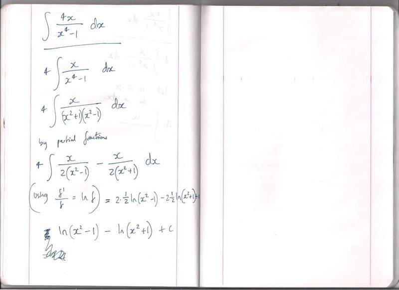
I'm trying to do this problem from S. P. Thomson's Calculus Made Easy
(see attached image file)


Homework Equations





The Attempt at a Solution


I've produce the answer here, but it seems to be different from the mathcad solution, which is:
ln(-1+x)+ln(1+x)-ln(1+x^2)

Could someone help me see if (and if so, how) my answer is equivalent (without the constant). If it's wrong, I'd appreciate a pointer as to why, and if there is a quicker way of tackling this problem than by using partial fractions, could you let me know?
Thanks in advance
 

Attachments

  • ex 004.jpg
    ex 004.jpg
    24.5 KB · Views: 396
Physics news on Phys.org
Your answer is correct as is the books. ln a + ln b = ln (ab).
 
In fact, both answers could be written as
[tex]ln\left(\frac{x^2-1}{x^2+1}\right)+ C[/tex]
or even
[tex]ln\left(C'\frac{x^2-1}{x^2+1}\right)[/tex]
where C= ln(C')
 
Thanks! Nice to get one right for a change...
 

Similar threads

  • · Replies 6 ·
Replies
6
Views
2K
  • · Replies 2 ·
Replies
2
Views
1K
  • · Replies 12 ·
Replies
12
Views
2K
Replies
4
Views
1K
  • · Replies 4 ·
Replies
4
Views
2K
  • · Replies 1 ·
Replies
1
Views
1K
  • · Replies 14 ·
Replies
14
Views
2K
  • · Replies 3 ·
Replies
3
Views
2K
  • · Replies 8 ·
Replies
8
Views
2K
  • · Replies 5 ·
Replies
5
Views
2K