Integration using a specific method

Click For Summary

Homework Help Overview

The original poster is working on an integral involving the expression ∫(e^x+1)/(e^x+e^-x+2) and is attempting to rearrange it to apply a specific integration formula.

Discussion Character

  • Exploratory, Mathematical reasoning

Approaches and Questions Raised

  • Participants suggest using a substitution (y=e^x) and breaking the integral into partial fractions. There is also a suggestion to rewrite e^(-x) as 1/(e^x) to simplify the expression further.

Discussion Status

Some participants have provided guidance on how to simplify the integral and identify components related to the formula the original poster intends to use. Multiple approaches are being explored without a clear consensus on the best method.

Contextual Notes

The original poster is under constraints related to homework rules, which may limit the type of assistance they can receive.

Charlotte87
Messages
18
Reaction score
0

Homework Statement


I am suppose to rearrange the integral in order to use this formula to solve it:
∫f'(x)/f(x)dx=ln|f(x)|+C


Homework Equations


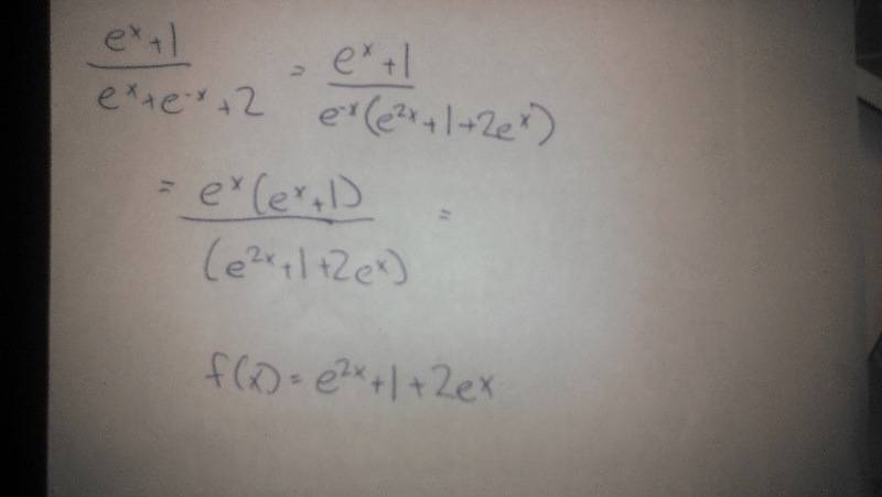
My integral is ∫(e^x+1)/(e^x+e^-x+2).



The Attempt at a Solution


Any help?
 
Physics news on Phys.org
To simplify the integral, let ##y=e^x## and break it into partial fractions.
 
Last edited:
Write e^(-x) as 1/(e^x). Simplify and you should get the expression:
[tex]\frac{e^{2x}+e^x}{e^{2x}+2e^x+1}[/tex]
Can you now see which is f(x) and which is f'(x)?
 
this is an easy way to do it

should get you started at least

xMu6i.jpg
 
pranav got there before me... lol
 

Similar threads

Replies
7
Views
2K
  • · Replies 14 ·
Replies
14
Views
2K
  • · Replies 9 ·
Replies
9
Views
2K
Replies
2
Views
2K
  • · Replies 6 ·
Replies
6
Views
2K
  • · Replies 14 ·
Replies
14
Views
3K
Replies
4
Views
1K
  • · Replies 6 ·
Replies
6
Views
2K
Replies
2
Views
1K
  • · Replies 105 ·
4
Replies
105
Views
11K