Integration using the reduction formula

Click For Summary
SUMMARY

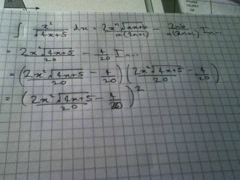
The discussion focuses on integrating the rational function using the reduction formula, specifically for the integral $$I_n = \int \frac{x^n}{\sqrt{ax+b}}\,dx$$ with n=2. The correct application of the formula yields $$I_2 = \frac{x^2\sqrt{4x+5}}{10} - I_1$$. A common mistake noted is in the coefficient of I1, emphasizing the need for careful simplification. The process involves recursively applying the reduction formula to derive I1 and ultimately I0, which is straightforward to integrate.

PREREQUISITES
  • Understanding of integral calculus and rational functions
  • Familiarity with reduction formulas in integration
  • Knowledge of basic algebraic manipulation
  • Ability to perform square root operations in integrals
NEXT STEPS
  • Study the application of reduction formulas in integration
  • Practice integrating rational functions using similar techniques
  • Explore the integration of square root functions
  • Review common mistakes in integral calculus to avoid errors
USEFUL FOR

Students learning integral calculus, educators teaching integration techniques, and anyone seeking to improve their skills in applying reduction formulas for rational functions.

studentxlol
Messages
40
Reaction score
0
Read the math in the image below

aOfUJ.jpg


Is it possible to integrate the rational function using that reduction formula. If yes, how do I go about doing it?

Keep it simple, I'm new to this (And I missed a lesson)

Thanks!
 
Physics news on Phys.org
You have
$$I_n = \int \frac{x^n}{\sqrt{ax+b}}\,dx$$ so you're starting with n=2. When you apply the formula and simplify, you should get
$$I_2 = \frac{x^2\sqrt{4x+5}}{10} - I_1$$ You made a mistake in the coefficient of I1, so recheck your work getting the second line. Now apply the same formula to expand I1. You'll end up with an expression with I0 which you should know how to integrate.
 

Similar threads

  • · Replies 1 ·
Replies
1
Views
10K
  • · Replies 3 ·
Replies
3
Views
3K
  • · Replies 9 ·
Replies
9
Views
2K
  • · Replies 11 ·
Replies
11
Views
2K
  • · Replies 4 ·
Replies
4
Views
3K
Replies
9
Views
3K
Replies
4
Views
2K
  • · Replies 9 ·
Replies
9
Views
2K
  • · Replies 1 ·
Replies
1
Views
3K
  • · Replies 4 ·
Replies
4
Views
2K