Why is the Fourier coefficent calculated like this?

  • Thread starter Thread starter arhzz
  • Start date Start date
Click For Summary

Homework Help Overview

The discussion revolves around finding the Fourier coefficients for a periodic function with a period of T = 2. The original poster presents a specific function, x(t) = (-t + 1), and expresses confusion regarding the calculation of the coefficient a0, particularly in relation to the integration limits and the application of the formula used in class.

Discussion Character

  • Exploratory, Assumption checking, Problem interpretation

Approaches and Questions Raised

  • Participants discuss the need for separate formulas for different intervals of the function and question the integration limits used in the solution. There is exploration of whether one integral can suffice due to symmetry, and how to handle the coefficients for both intervals.

Discussion Status

The conversation is ongoing, with participants providing insights into the integration process and the necessity of considering both intervals for accurate coefficient calculation. Some guidance has been offered regarding the use of symmetry to simplify the integration, but no consensus has been reached on the best approach for all coefficients.

Contextual Notes

Participants note potential confusion regarding the integration limits and the application of the Fourier series formula, as well as the implications of symmetry in the function being analyzed.

arhzz
Messages
284
Reaction score
58
Homework Statement
Find the Fourier coefficients
Relevant Equations
Fourier Analysis
Hello!

I have a function that is periodic. T = 2. Now I need to find a fourier series of that function, so I need to find coefficient ##a_0 a_k b_k ##

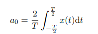
for a0 I have this formula (this is the one we used in class)

c.png


Now my x(t) = (-t+1). and when I plug in all of the values I have in the formula I get that ##a_0 = 2 ## but the solution says it should be 1. I checked the solution and what they did is they multiplied the 2/T with 2. I dont understand why they did this? Also they integrated from 0 to 1, I dont understand this either; Shouldnt the Integral be from -1 to 1 ?

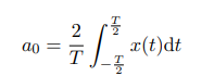
For reference here is how the graph of the function looks like.

1706973736879.png


Thanks in advance!
 
Physics news on Phys.org
arhzz said:
Homework Statement: Find the Fourier coefficients
Relevant Equations: Fourier Analysis
View attachment 339696

Now my x(t) = (-t+1).
This is the formula for only the right half of the sawtooth function. IOW, it is correct only for ##t \in [0, 1]##. You also need a formula for the left half, the part in the interval [-1, 0]. Since the formula changes, you'll need separate integrals for each coefficient.
arhzz said:
and when I plug in all of the values I have in the formula I get that ##a_0 = 2 ## but the solution says it should be 1. I checked the solution and what they did is they multiplied the 2/T with 2. I dont understand why they did this? Also they integrated from 0 to 1, I dont understand this either; Shouldnt the Integral be from -1 to 1 ?

For reference here is how the graph of the function looks like.

View attachment 339697

Thanks in advance!
 
  • Like
Likes   Reactions: Orodruin
Mark44 said:
This is the formula for only the right half of the sawtooth function. IOW, it is correct only for ##t \in [0, 1]##. You also need a formula for the left half, the part in the interval [-1, 0]. Since the formula changes, you'll need separate integrals for each coefficient.
Oh wait, this describes only the right part. So I need too calculate the coeffient 2 times, one from the intervall from [0,1] and for the intervall [-1 0] again, and than I have the coefficient a0? But is it possible to calculate the coefficient with 1 Integral, because they did it with 1 Integral? Also when I find the 2 different coefficients with two separate integrals, should I add them to get a0?
 
arhzz said:
So I need too calculate the coeffient 2 times, one from the intervall from [0,1] and for the intervall [-1 0] again, and than I have the coefficient a0? But is it possible to calculate the coefficient with 1 Integral, because they did it with 1 Integral?
Because of the symmetry, you can get by with one integral, by just multiplying the integral by 2. IOW, this will work:
$$a_0 = \frac 2 2 \int_0^1 1 - t ~dt$$
In addition, this integral can be evaluated by inspection, since it represents twice the area of a triangle whose base is 1 and whose altitude is also 1.
arhzz said:
Also when I find the 2 different coefficients with two separate integrals, should I add them to get a0?
For the other coefficients in your Fourier series, you might have to use two separate integrals for each coefficient, and add them together. I haven't worked it out, though. It sometimes happens that half of the coefficients are zero, so that might make the work a bit easier.
 
  • Like
Likes   Reactions: arhzz
Mark44 said:
Because of the symmetry, you can get by with one integral, by just multiplying the integral by 2. IOW, this will work:
$$a_0 = \frac 2 2 \int_0^1 1 - t ~dt$$
In addition, this integral can be evaluated by inspection, since it represents twice the area of a triangle whose base is 1 and whose altitude is also 1.
For the other coefficients in your Fourier series, you might have to use two separate integrals for each coefficient, and add them together. I haven't worked it out, though. It sometimes happens that half of the coefficients are zero, so that might make the work a bit easier.
Just to report I have solved the problem and it was just like you said. For the coefficients you need to split it up with the 2 intervals and simply integrate, thankfully a lot cancels out since you plug in 0 for a lot of the function values, it is a bit more integrating but the only difference is the (-t+1) and (t+1) for the different intervals as well as the limits but you pretty much need to integrate once and just adjust the sign, and plug in the appropriate limit.

Thanks for the great help as always!
 

Similar threads

  • · Replies 6 ·
Replies
6
Views
2K
  • · Replies 1 ·
Replies
1
Views
2K
  • · Replies 3 ·
Replies
3
Views
2K
Replies
1
Views
3K
  • · Replies 5 ·
Replies
5
Views
2K
  • · Replies 12 ·
Replies
12
Views
2K
  • · Replies 3 ·
Replies
3
Views
2K
  • · Replies 5 ·
Replies
5
Views
2K
Replies
3
Views
2K
  • · Replies 2 ·
Replies
2
Views
2K