Is a black skin related to melanin's relation with adrenaline?

  • Thread starter Thread starter mark!
  • Start date Start date
  • Tags Tags
    Relation Skin
Click For Summary

Discussion Overview

The discussion explores the relationship between black skin, melanin, and adrenaline, particularly in the context of evolutionary biology and adaptation to UV radiation. Participants examine the biochemical pathways involved in melanin and adrenaline synthesis, the implications of domestication on skin color, and the potential for genetic changes in response to environmental factors.

Discussion Character

  • Exploratory
  • Debate/contested
  • Conceptual clarification
  • Technical explanation

Main Points Raised

  • Some participants propose that black skin is primarily caused by melanin as a protective response to UV radiation, while others suggest that the relationship with adrenaline and dopamine pathways may also play a significant role.
  • One participant mentions the role of the Microphthalmia-associated transcription factor (MITF) in regulating melanin synthesis and questions its correlation with sunlight intensity.
  • Another viewpoint emphasizes the importance of Vitamin D synthesis in relation to skin color evolution, arguing that selection pressures for adequate Vitamin D may explain variations in melanin levels across different latitudes.
  • There is a discussion about the differences between albinism and white spotting in domesticated animals, with some participants asserting that these are distinct genetic phenomena.
  • Some participants express skepticism about the idea of automatic evolutionary changes in skin color due to environmental shifts, emphasizing the role of active selection in evolution.
  • One participant raises questions about the potential for genetic changes in populations living in different climates over generations, speculating on whether these changes could lead to shifts in skin color.

Areas of Agreement / Disagreement

Participants do not reach a consensus on the primary causes of skin color variation or the implications of adrenaline and dopamine pathways. Multiple competing views remain, particularly regarding the significance of environmental factors versus biochemical pathways.

Contextual Notes

Limitations include the lack of empirical studies directly correlating MITF with sunlight intensity and the unresolved nature of genetic adaptation in response to climate changes over generations.

mark!
Messages
150
Reaction score
13
Why is it generally accepted that black skin is only caused by melanin, due to the intensity of UV radiation, in order to protect the body from skin cancer to develop? Because melanin is also, together with adrenaline, linked to the precursor: dopamine, thus both chemicals share the same pathway (as they are synthesized from tyrosine to dopamine, and from dopamine to melanin/adrenaline). The amount of adrenaline (or: epinephrine) decreases as a result of tameness, which is what for instance explains white coloration of domesticated animals. Only wild animals are in need for adrenaline, due to the fight or flight response.

"The mechanistic basis of tameness to reduced size and function of the adrenal glands, which play a central role in the physiology of both fear and stress responses".

"A positive correlation between depigmentation and less reactive temperaments in domesticated animals may be related to the fact that dopamine, adrenaline and melanin have the same biochemical precursor while dopamine is thought to inhibit the hormone that stimulates pigment cells to produce melanin".

There is a protein, 'Microphthalmia-associated transcription factor', abbreviated as ’MITF’. MITF functions as a master regulator of pigmentation, which regulates the expression of various genes that, taken together, are essential for melanin synthesis in melanocytes. White spotting results from decreased activity of MITF. I know of no studies correlating MITF to the intensity of sunlight.

Becoming white skinned is said to have evolved after Homo Sapiens migrated from Africa. This occurred gradually, it is argued, because melanin is clearly linked with UV light. This is true, of course, but is this really the only cause? Because this is generally the answer that I get when I'm discussing the subject, nobody ever mentions the alteration of the adrenal glands, and therefore an alteration of the dopamine pathway, which in turn affects melanin simply as a by-product, just like pleiotropic genes in the neural crest cells are linked to certain phenotypic traits (floppy ears, curly tail, shorter snout etc.). Or, if this is really not of any significance, but it's indeed mainly a UV light thing, do we observe the expected genetic changes in the genomes of blacks right now, who have lived in colder climates for several generations? That would support such a theory. Do we indeed see this gradual genetic change, which would indicate that over time, at some point in the future, their skin will, eventually turn white? Or vice versa, do we observe genetic changes in white people (for instance in their MITF genes), who are living in warmer climates for many generations, turning them black eventually, if they would continue to live there?
 
Last edited:
Biology news on Phys.org
mark! said:
Why is it generally accepted that black skin is only caused by melanin, due to the intensity of UV radiation, in order to protect the body from skin cancer to develop?
I think you are asking "Why is it generally accepted that black skin caused by melanin is only due to the intensity of UV radiation, in order to protect the body from skin cancer to develop?".
In other words, clearly black skin is caused by melanins created by melanocytes - as evidenced by the resulting albinism when the melanocytes fail to do their job.
mark! said:
Only wild animals are in need for adrenaline, due to the fight or flight response.
I have found it handy on a couple of occasions. It's good to be able to ignore pain and other trivialities when there are greater things at stake.

In response to your last paragraph: Evolution is not "automatic" - it depends on active selection. If you move a population to a different environment and they adapt to that environment with air conditioners and sunblock, don't expect a lot of genetic adaptation. On the other hand, if a move to a new environment results in shortened lives and interferes with family support, then you can get fairly rapid evolution - perhaps something noticeable within 150 generations under that duress.

Here's an article describing recent human evolution - including adaptation to high-altitude living in Tibet: Recent Human Evolution
 
Last edited:
  • Like
Likes   Reactions: Evo and Buzz Bloom
I'm not going to link to anything, it does not appear that it gets looked at...

Look at Vitamin D synthesis.

Let's ignore dopamine and animal models. For now. Note that mammals/birds all have dopamine, too. No melanin in the skin:
So in these cases, the creatures' skin secrete oils or waxes which coat and impregnate its fur or feathers. Sunlight then interacts with the oil and produces vitamin D, which is then ingested by the animal or bird when it grooms itself. One reason why pig farms supplement livestock.

Melanin is extremely strongly related to pro-Vitamin D synthesis. Humans die or are permanently disabled by a severe deficit. Rickets, Osteomalacia, Ostoeporosis, reduced immune responses. 10000ya (much further back) these conditions were more than enough to insure failure to reproduce. Or even to live to age 5.

So. Selection pressure for getting enough Vitamin D is very large. This is more than enough to explain melanin requirements and presence in humans.

Skin color changes evolved as homo moved into Northern areas.

There is a gradation of melanin in human skin - from low levels in the Far North, to very dark at the equator. The primary driver for this is pro-Vitamin D synthesis. Sun angle exposure during the winter months at latitudes greater than 37°N or 37°S results in an inadequate to zero supply of Vitamin D. This is one big reason why upper respiratory diseases tend to spike in the Winter.

Melanin reduces UV skin damage but slows synthesis. So less melanin == more UV damage and more Vitamin D.

So, Nordic skin colorations and being a beach bunny are a great way to damage skin. But increasing D synthesis was clearly selected for as populations radiated into Northern latitudes.

There are > 370 loci for skin coloration - classical multigenic inheritance.

The offspring of humans with greatly different numbers of dominant alleles results in intermediate melanin levels. It seems this may be the basis for the idea of blending inheritance. Which people who do not know about Gregor Mendel's work tend to believe.
 
  • Like
Likes   Reactions: Evo, Ygggdrasil, Astronuc and 1 other person
.Scott said:
clearly black skin is caused by melanins created by melanocytes - as evidenced by the resulting albinism when the melanocytes fail to do their job.

White spotting in domesticated animals is not the same phenomenon as albinism. It may have the same phenotypic effect, but that's due to a very different genotypic alterations. So in reference to my question, this is not relevant information.

.Scott said:
I have found it handy on a couple of occasions. It's good to be able to ignore pain and other trivialities when there are greater things at stake.

That's why you possesses some adrenaline, but not a lot of it. So there's no total disappearance of adrenaline, only a decrease of its quantity. The same thing goes for cortisol. Domesticated animals possesses less cortisol than wild animals, yet humans still possesses some of it. albeit in lower levels. "After 12 generations of selective breeding, the corticosteroid level in the tame foxes' plasma was, slightly more than half the level in a control group". White skin also still possesses melanin, it didn't disappear (as you seem to imply), only of a different type, a different size, and a different quantity, that's why I came up with this question in the first place.

.Scott said:
In response to your last paragraph
Thanks for your reply, but what's your final answer to my question?
 
Last edited:
mark! said:
Thanks for your reply, but what's your final answer to my question?
By "My question" I assume you are referring to the title of this thread.
Yes. They are both organic. They share some characteristics in Human biochemistry.
 
.Scott said:
By "My question" I assume you are referring to the title of this thread.
Yes. They are both organic. They share some characteristics in Human biochemistry.

OK, thanks!

What about you, @jim mcnamara, is a black skin related to melanin's relation with adrenaline? Yes/no.
 
No.
 
  • Like
Likes   Reactions: Evo and .Scott
jim mcnamara said:
No.

Do you have anything to support your 'no'? I've already provided two papers to support my 'yes'. Let me add a third one:

"Catecholamines were first shown to play a role in pigmentation in nonmammalian tissues, especially amphibian chromatophores where both α- and β-adrenergic receptors are expressed. Norepinephrine induces α2-adrenoceptors in melanocytes. Studies performed on cultured melanoma cells have indeed shown that epinephrine or norepinephrine as well as other adrenergic agonists can stimulate moderately tyrosinase activity and melanin production."

That doesn't mean that your post contains anything that is wrong, and that both our claims must be mutually exclusive, because in this same paper, it reads:

"Sex steroids and vitamin D can also modify cutaneous pigmentation. Thus the substantial overlapping in positive regulation of melanogenesis does exist."

This means that you're right! But unless you are able provide a paper that counts as evidence for the opposite claim, because you're arguing that my claim is wrong, I don't see why your 'no' is more than than your personal opinion, and hence I don't see why I should doubt whether there is a correlation between melanin and epinephrine. For me it's scientific experiments only that count.
 
Last edited:
mark! said:
whether there is a correlation between melanin and epinephrine.
There's a big difference between "relation" and "correlation" - and the title question doesn't ask whether there is a relationship between melanin and epinephrine. It asks about a relationship between skin color and a presumed relationship between melanin and epinephrine.

You demand a "final answer" - presumably "yes" or "no". When you do that (and people oblige) you turn the discussion into a word game.
 
  • Like
  • Love
Likes   Reactions: Evo and Tom.G
  • #10
this whole topic seems fishy and a veiled attempt to support some racist theory, although Googling it also seems melanin levels are also the basis for some Afro-centric pseudoscientific claims:

https://en.wikipedia.org/wiki/Melanin_theory
 
  • Like
Likes   Reactions: Evo, jim mcnamara, Ygggdrasil and 1 other person
  • #11
The genetics of skin color is quite complicated and many different alleles in many different genes controls skin colors in human populations. However, one major gene controlling skin coloration is the gene SLC24A5, and evolutionary biologists have identified changes in this gene as one of the earlier genetic changes occurring as humans migrated from Africa to Europe.

This gene encodes a protein that occurs primarily in melanocytes and is involved in melanin pigment production in these cells. Because the gene is present mainly in melanocytes and not in cells involved in adrenaline production/usage, it is highly likely that changes to this gene would affect only melanin production and not adrenaline production/usage. Therefore, we can infer that the selective evolutionary pressures that lead to the changes to this gene were primarily selecting for melanin production and not anything related to adrenaline.
 
  • Like
Likes   Reactions: Evo, jim mcnamara and BillTre
  • #12
mark! said:
Why is it generally accepted that black skin is only caused by melanin, due to the intensity of UV radiation, in order to protect the body from skin cancer to develop? Because melanin is also, together with adrenaline, linked to the precursor: dopamine, thus both chemicals share the same pathway (as they are synthesized from tyrosine to dopamine, and from dopamine to melanin/adrenaline).
From a quick check, on the synthesis of adrenaline and melanin, they have separate (and different) pathways, and the synthesis takes place in different parts of the body.

"Adrenaline is synthesized in the chromaffin cells of the adrenal medulla of the adrenal gland and a small number of neurons in the medulla oblongata in the brain through a metabolic pathway that converts the amino acids phenylalanine and tyrosine into a series of metabolic intermediates and, ultimately, adrenaline." Wikipedia

"Melanin is synthesized by cells in the skin and hair follicles called melanocytes. Two major classes of melanin are known: eumelanin, a brown-black pigment; and pheomelanin, an orange-to-red pigment. Melanin is stored in cytoplasmic organelles within melanocytes, called melanosomes." ScienceDirect

mark! said:
Or vice versa, do we observe genetic changes in white people (for instance in their MITF genes), who are living in warmer climates for many generations, turning them black eventually, if they would continue to live there?
It would probably take many generations.

My ancestors are mainly from UK and northern Europe, and my wife's ancestors similarly UK, northern and western Europe, and possibly some native American. My skin is somewhat darker than those of my parents, siblings, and my wife and children. This is likely because I used to spend a lot of time at the beach growing up (lived 4-5 years in two coastal towns), then a lot of time outside. During high school, I had one job working outside at a gardening center. During university, I'd often spend weekends at the beach, and for a time, I spent summers doing iron work. My exposed skin would turn very dark by the end of the summer, so much so that I've been considered by some as Mediterranean, Italian, Jewish/Israeli, Arab, Hispanic and even African-American. Usually by the following January, my skin would lighten (but still relatively tan). However, over the decades, I've probably built up a population of melanocytes. I don't sunburn as easily as many of my white friends, but tan rather readily.

I am also susceptible to skin cancer (my dad has has some basal cell carcinomas removed from his skin), so these days, I use SPF 30 sunscreen or otherwise cover my skin.
 
  • Like
Likes   Reactions: Evo and jim mcnamara
  • #13
Astronuc said:
on the synthesis of adrenaline and melanin, they have separate (and different) pathways

Tyrosine -> Dopamine -> Melanin
Tyrosine -> Dopamine -> Adrenaline

How is this not the same pathway?

Astronuc said:
the synthesis takes place in different parts of the body

That's irrelevant, it has nothing to do with the pathway itself.

Ygggdrasil said:
it is highly likely that changes to this gene would affect only melanin production and not adrenaline production/usage. Therefore, we can infer that the selective evolutionary pressures that lead to the changes to this gene were primarily selecting for melanin production and not anything related to adrenaline.

Interesting stuff, but I'm not talking about this gene. Your remark is comparable to the notion that vitamin D has also something to do with skin coloration, as @jim mcnamara pointed out, which therefore is irrelevant to my initial question. Even testosterone seems to be involved. All true. And surely it's even more complex than that, but I was only wondering one thing, whether tameness, as a result of a domestication event in the case of animals, which affects the amount of adrenaline required for the body, may affect melanin production as well, as a side effect, which in turn may result in phenotypic alterations, such as white fur/skin. That's all. It's a yes/no question.

I've provided three links to support my 'yes':
1. "The mechanistic basis of tameness to reduced size and function of the adrenal glands, which play a central role in the physiology of both fear and stress responses".
2. "A positive correlation between depigmentation and less reactive temperaments in domesticated animals may be related to the fact that dopamine, adrenaline and melanin have the same biochemical precursor while dopamine is thought to inhibit the hormone that stimulates pigment cells to produce melanin".
3. "Catecholamines were first shown to play a role in pigmentation in nonmammalian tissues, especially amphibian chromatophores where both α- and β-adrenergic receptors are expressed. Norepinephrine induces α2-adrenoceptors in melanocytes. Studies performed on cultured melanoma cells have indeed shown that epinephrine or norepinephrine as well as other adrenergic agonists can stimulate moderately tyrosinase activity and melanin production."

Would you answer my question with a 'yes' or with a 'no'?

And what would be your best support for your standpoint?
(Could you at least share one source as a reference please?)
 
Last edited:
  • #14
mark! said:
Tyrosine -> Dopamine -> Melanin
Tyrosine -> Dopamine -> Adrenaline

How is this not the same pathway?
Different enzymes. See attached figures.

https://en.wikipedia.org/wiki/Tyrosinase

https://en.wikipedia.org/wiki/Tyrosine_hydroxylase
https://en.wikipedia.org/wiki/Dopamine_beta-hydroxylase

See also - https://en.wikipedia.org/wiki/Neuromelanin

mark! said:
That's irrelevant, it has nothing to do with the pathway itself.
Incorrect. It most certainly has to do with the pathways. Different cells, different enzymes, different pathways.
 

Attachments

  • Conversion_of_phenylalanine_and_tyrosine_to_adrenaline.png
    Conversion_of_phenylalanine_and_tyrosine_to_adrenaline.png
    22.4 KB · Views: 327
  • 3-s2.0-B9780123838643000132-f13-25-9780123838643.jpg
    3-s2.0-B9780123838643000132-f13-25-9780123838643.jpg
    42.2 KB · Views: 239
  • Like
Likes   Reactions: Evo
  • #15
Several good points have been already made.

I have had several black dogs and they were not wild like a wolf (which themselves are usually not solid black (which by his reckoning should be less wild)). Neither are the black cats I have met.
This is a weak connection at best and can obviously be easily overcome by breeding.

Its application to people seems borderline racist to me.

I remember this guy. He asks questions, but does not like the answers he gets.
You can't tell him anything.
 
  • Like
Likes   Reactions: Evo and Fervent Freyja
  • #16
First a few points on your initial post:
mark! said:
Becoming white skinned is said to have evolved after Homo Sapiens migrated from Africa. This occurred gradually, it is argued, because melanin is clearly linked with UV light. This is true, of course, but is this really the only cause? Because this is generally the answer that I get when I'm discussing the subject, nobody ever mentions the alteration of the adrenal glands, and therefore an alteration of the dopamine pathway, which in turn affects melanin simply as a by-product, just like pleiotropic genes in the neural crest cells are linked to certain phenotypic traits (floppy ears, curly tail, shorter snout etc.).

This pre-supposes that there are differences in the adrenal systems of European vs African populations. Is there evidence for this?

Or, if this is really not of any significance, but it's indeed mainly a UV light thing, do we observe the expected genetic changes in the genomes of blacks right now, who have lived in colder climates for several generations? That would support such a theory. Do we indeed see this gradual genetic change, which would indicate that over time, at some point in the future, their skin will, eventually turn white? Or vice versa, do we observe genetic changes in white people (for instance in their MITF genes), who are living in warmer climates for many generations, turning them black eventually, if they would continue to live there?

This is not how natural selection and evolution work. Living in a certain environment does not cause a person's genes to change over time. Rather, as others have pointed out in the thread, genetic changes come at the population level from individuals with darker skin having fewer offspring than individuals with lighter skin in more Northern climates. Of course, in modern times, where UV exposure and vitamin D production are not major factors impacting lifespan and reproductive fitness (e.g. due to sunscreen and vitamins), we do not expect to see natural selection for skin color on the basis of climate in modern times (plus, evolutionary change will occur on much longer time scales, e.g. thousands-tens of thousands of years).

Now for your more recent post:
The articles do suggest that changes to the adrenal system can affect skin color. However, as I asked above, is there evidence for the selection of genetic changes related to the adrenal system in European populations? As far as I know, the answer to that question is no. So, in the absence of evidence for selection for changes to adrenaline production, there is no evidence that your hypothesis explains changes to skin color in human populations (versus the commonly accepted, textbook explanation of vitamin D). Furthermore, just because changes to the adrenal system can affect skin color, this does not mean that genetic changes affecting skin color must necessarily affect the adrenal system.

Indeed, various scientific studies have looked at the DNA sequences of human populations to find genes that show genetic signatures for natural selection (example). The study linked to as an example finds that two alleles under strong positive selection in European populations, which occur in two genes, SLC24A5 and SLC45A2, that affect skin color. As I mentioned in my previous post, because these genes are expressed only in melanocytes and not in endocrine tissues, they are likely to affect only skin color and not the adrenal system.

More broadly, scientists have performed genetic association studies to examine the genes affecting skin color. The gene you mentioned in your first post, MITF, is not found in these studies. So, while changes to MITF can affect skin color, changes to MITF are not responsible for the variation in skin color in human populations. Indeed, mutations in MITF are much more rare and are associated with human genetic diseases (which along with changes to pigmentation are also associated with hearing loss). Instead, the mutations that control the variation in skin color in human populations are more common in genes that specifically affect melanin production in melanocytes (e.g. changes to SLC24A5 and SLC45A2), rather than mutations that might affect melanin production along with other traits. As others have mentioned, it is possible to affect melanin production and melanocytes without affecting adrenaline production because there are enzymatic steps that are not shared between the two pathways and because the production of the two substances occurs in separate cell types.
 
Last edited:
  • Like
Likes   Reactions: Astronuc, Evo, jim mcnamara and 1 other person
  • #17
Astronuc said:
Incorrect. It most certainly has to do with the pathways. Different cells, different enzymes, different pathways.

For my question it's irrelevant, because I'm interested in the relationship between adrenalin and melanin, which both have tyrosine and dopamine as their precursors. What exactly happens in between, such as different enzymes that are involved, that doesn't change the starting material or end product, and thus doesn't affect the relation between those two end products, because they still share the same starting material. And since my question is about the relationship between those two end products, coming from the same precursor, the specific enzymes that are involved in that pathway, and in what specific types of cell they take place, is of no interest to me, in regards to my question.

By the way, 'sharing the same pathway' aren't my own words, I read it in the link I shared earlier: "change in an animal’s stress response might lead to changes in pigmentation patterns via effects on shared biochemical pathways". But you're right in pointing out that it's not the exact same pathway, it's a detour indeed.

Ygggdrasil said:
changes to MITF are not responsible for the variation in skin color in human populations

In my initial question, at the very start of this thread, I didn't specify that I wanted to know the answer in reference to human populations only. I gave the example of European and African societies, but I also wrote "pleiotropic genes in the neural crest cells are linked to certain phenotypic traits (floppy ears, curly tail, shorter snout etc.)" referring to domesticated animals. So, as I already pointed out in my last post, I'm only interested in the relationship between those chemicals in general, not per se how they play a role in humans.

Ygggdrasil said:
The articles do suggest that changes to the adrenal system can affect skin color. However, as I asked above, is there evidence for the selection of genetic changes related to the adrenal system in European populations? As far as I know, the answer to that question is no.

Same again, you're referring how this plays a role in humans, but many studies have shown that 'reduced adrenal activity' is involved in domesticated animals. And not just in regard to adrenaline, but also cortisol. So your answer to my question can't be a 'no', not yet at least, because you're answering a different question.

BillTre said:
I have had several black dogs and they were not wild like a wolf (which themselves are usually not solid black (which by his reckoning should be less wild)). Neither are the black cats I have met.
This is a weak connection at best and can obviously be easily overcome by breeding.

So all domesticated animals should have floppy ears, otherwise there's no link between tameness, and the pleiotropic genes in the neural crest cells that go hand in hand with that, and this particular phenotypic trait? In your line of reasoning, rabbits and pigs are domesticated, but horses aren't?

So far I haven't received any study that rejects the my 'yes' (and that's not just my personal opinion, but supported by studies performed on cultured melanoma cells have indeed shown that epinephrine or norepinephrine as well as other adrenergic agonists can stimulate moderately tyrosinase activity and melanin production. Is there anyone who is still convinced of his/her 'no' to my initial question (being "whether tameness, as a result of a domestication event in the case of animals, which affects the amount of adrenaline required for the body, may affect melanin production as well, as a side effect, which in turn may result in phenotypic alterations, such as white fur/skin"), and who could provide me with evidence to support his/her position?

In short, if a psychological state, tameness, can indeed affect the fur/skin coloration, that would be quite interesting! That's why I came to this forum to get a second opinion on this, to find out whether this has the support of smart guys like yourselves. It clearly hasn't. I have no problem throwing away this theory if there is indeed no correlation, but not based on what I've heard so far, because I've basically received attacks on a strawman argument. So if you're really convinced of your 'no', please, provide me with anything credible, a paper, a study, anything that proves your point that there is no correlation whatsoever between domestication and skin pigmentation due to a change in adrenaline requirements for the body!
 
Last edited:
  • #18
‘Here is my pet theory, prove it wrong’ is not how things work. You have the burden of proving your assertion, and you have not provided any evidence that this is anything other than your own personal speculation rather than a view held within the real scientific community
 
  • Like
Likes   Reactions: Astronuc, Evo, BillTre and 1 other person
  • #19
mark! said:
Would you answer my question with a 'yes' or with a 'no'?
If you are going to try to pin down a yes or no answer, your question needs to be explicit, explicitly specified (do you mean the title), and unambiguous. It should also be openly purposeful. It is none of those.
 
  • Like
Likes   Reactions: Evo
  • #20
@BWV - that is precisely what is going on.
@mark! - this is what you are doing:
Suppose you meet a random man on the street, and you say, 'Have you stopped beating your wife, yes or no?'
It has two assumptions:
1. the person has a wife.
2. the person is beating his wife.

So neither a yes nor a no answer is correct. Just like your primary question.
We have already explained what Science knows. We cannot help you it seems.
Thread closed.
 
  • Like
Likes   Reactions: Astronuc, Evo, Tom.G and 2 others
  • #21
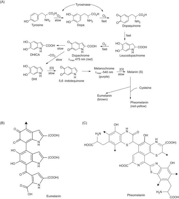
From @Astronuc
Basic Biochemistry
I was going to add a comment about the fact that once dopaquinone forms and is transformed to leucodopachrome, there is no relationship to adrenaline, except that it shares the same precursor, in different cells though. The indole structure makes it a very different molecule unrelated to adrenaline. Furthermore, the melanins are much more complex.

https://en.wikipedia.org/wiki/Indole
https://en.wikipedia.org/wiki/Melanin
 

Similar threads

  • · Replies 15 ·
Replies
15
Views
6K
  • · Replies 23 ·
Replies
23
Views
6K