Is my integral integrable using Mathematica or is there a fundamental error?

Click For Summary

Discussion Overview

The discussion revolves around the integrability of a specific integral involving the exponential integral function and parameters A and B, both of which are positive constants. Participants explore numerical evaluation methods using Mathematica, potential issues with the integral's behavior at zero, and the implications of the integral's divergence. The conversation also touches on deriving related expressions and calculating expected values using probability distributions.

Discussion Character

  • Exploratory
  • Technical explanation
  • Debate/contested
  • Mathematical reasoning

Main Points Raised

  • One participant presents an integral that cannot be found in integral tables and experiences issues with numerical evaluation in Mathematica, suggesting a possible divergence at zero.
  • Another participant notes that numerical algorithms often struggle with expressions involving terms like 1/x, even if the overall limit is finite, and suggests using conditionals to manage these cases.
  • Some participants discuss the integral's behavior near zero, with one asserting that the integrand behaves like 1/(Ax) and is thus non-integrable.
  • There is a suggestion to approximate the integral to make it integrable, but another participant argues that this would not relate to the original integral.
  • Participants engage in a discussion about deriving a related expression involving exponential random variables and calculating its expected value, with some expressing confusion over specific steps in the derivation.
  • Clarifications are sought regarding the integration process and the handling of double integrals in the context of probability distributions.

Areas of Agreement / Disagreement

Participants express differing views on the integrability of the original integral, with some asserting it diverges while others explore potential approximations. There is also a lack of consensus on the correctness of the derivations related to the expected value of the derived expression.

Contextual Notes

Participants note that the integral diverges at zero, and there are discussions about the implications of this divergence and how it affects numerical evaluations. The conversation includes various mathematical manipulations and assumptions that may not be fully resolved.

  • #31
This might simplify your calculations a bit: integrating by parts you get $$\int_0^\infty e^{-x} f_X(x) dx = \int_0^\infty F_X(x) e^{-x} dx, $$ so you do not need to compute derivative of ##F_X##.
 
Physics news on Phys.org
  • #32
Oh, really? So, I think you can see now where the integral in my first post came from. I will follow on this.
 
  • #33
Integration by parts goes like this. Let ##u=e^{-x}## and thus ##du=-e^{-x}\,dx##, and ##dv=f_X(x)\,dx##, and thus ##v=\int f_X(x)\,dx##. I know that ##F_X(x)=\int_0^xf_X(x)\,dx##, but does the above ##v=F_X(x)## and why? I will continue. Assuming the above is correct, we have

[tex]\int_0^{\infty}e^{-x}f_X(x)\,dx=\underbrace{\left. e^{-x}F_X(x)\right|_0^{\infty}}_{=0}+\int_0^{\infty}e^{-x}F_X(x)\,dx=\int_0^{\infty}e^{-x}F_X(x)\,dx[/tex].

Interesting!
 
  • #34
Based on the above derivations, the average value of ##\varepsilon(\alpha_1,\alpha_2,\alpha_3)## is given by

[tex]\varepsilon=1-\frac{A}{B}\int_0^{\infty}x^{-1}\exp\left[\frac{x+A}{xB}-x\right]E_1\left[\frac{x+A}{xB}\right]\,dx[/tex]

Is the above integral inetgrable now?
 
  • #35
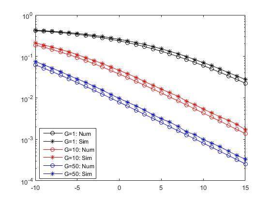
OK, now the integral is integrable, and Mathematica gives no complains. But when I compared the numerical results with Monte-Carlo simulations, where I generated ##10^5## samples for each point, I got very close but exactly the same curves. See attached Figure. My original equation is ##\varepsilon(\alpha_1,\alpha_2\alpha_3)=0.5\exp\left(-\frac{\frac{\alpha_1}{\alpha_2}G\gamma_Q}{\frac{1}{G}\alpha_3\gamma_p+1}\right)##. So,

[tex]\varepsilon=0.5-0.5\frac{G^2\gamma_Q}{\gamma_p}\int_0^{\infty}x^{-1}\exp\left[\frac{G\left(x+G\gamma_Q\right)}{x\gamma_p}-x\right]E_1\left[(\frac{G\left(x+G\gamma_Q\right)}{x\gamma_p}\right]\,dx[/tex]

The Mathematica code for the above equation is

Code:
yp = 10^(0/10);
GSS = 50;
For[yQdB = -10, yQdB <= 15, yQdB++;
yQ = 10^(yQdB/10);
A1 = 0.5 -
   0.5*((GSS^2)*yQ )/yp*
    NIntegrate[
     1/x*Exp[(GSS*(x + GSS*yQ))/(x*yp) - x]*
      ExpIntegralE[1, (GSS*(x + GSS*yQ))/(x*yp)], {x, 0, Infinity},
     PrecisionGoal -> 5, MaxRecursion -> 20];
Print[A1];]

I did Monte-Carlo simulations as follows

  1. For each ##\gamma_Q## generate three exponential random variables ##\alpha_i## for i=1,2,3.
  2. Find the value of ##\varepsilon(\alpha_1,\alpha_2\alpha_3,\gamma_Q)=\varepsilon(\alpha_1,\alpha_2\alpha_3,\gamma_Q)+0.5\exp\left(-\frac{\frac{\alpha_1}{\alpha_2}G\gamma_Q}{\frac{1}{G}\alpha_3\gamma_p+1}\right)##, where the initial value of ##\varepsilon(\alpha_1,\alpha_2\alpha_3,\gamma_Q)## is zero.
  3. Repeat for ##N=10^5## iterations.
  4. Find the average value as ##\varepsilon(\gamma_Q)=\varepsilon(\alpha_1,\alpha_2\alpha_3,\gamma_Q)/N##
Is there something wrong that gives me the difference between the two curves?

I didn't know how to attach the figure!
 
  • #36
Is it an error margin in the numerical evaluation of the integral?
 
  • #37
Can you show the figures? What error do you have?
 
  • #38
How to upload a figure from my PC?
 
  • #39
Upload image to a hosting site (dropbox, google photos, tumblr, flickr, etc) then click to "image" on the toolbar and insert the image url.
 
  • #40
It doesn't work. I tried both dropbox and google photos. Isn't it "get a link" that I need to insert here?
 
  • #41
Attached is the figure. Sim=Monte-Carlo simulations
 

Attachments

  • untitled.jpg
    untitled.jpg
    24.6 KB · Views: 486
  • #42
I think Monte-Carlo simulations are accurate, so, I suspect, given that everything else done properly, the accuracy of NIntegrate in Mathematica is the issue. Is there any possible reason and I cannot see it?
 
  • #43
Monte-Carlo convergence is quite slow, ##C/\sqrt N##, maybe the error is due to that. Also there could be some details that Monte-Carlo misses.
On the other hand how Mathematica does NIntegrate is hidden, it might also introduce some systematic error here.
 
  • #44
I remember using Mathematica to evaluate some numerical integral in my master thesis. There was no difference between the numerical integration and Monte-Carlo simulations then!
 

Similar threads

  • · Replies 21 ·
Replies
21
Views
4K
  • · Replies 3 ·
Replies
3
Views
2K
  • · Replies 8 ·
Replies
8
Views
4K
  • · Replies 6 ·
Replies
6
Views
3K
  • · Replies 1 ·
Replies
1
Views
2K
  • · Replies 9 ·
Replies
9
Views
2K
  • · Replies 3 ·
Replies
3
Views
3K
  • · Replies 6 ·
Replies
6
Views
5K
  • · Replies 6 ·
Replies
6
Views
2K
  • · Replies 5 ·
Replies
5
Views
2K