Is my procedure correct to compute this moment of inertia J?

Click For Summary
SUMMARY

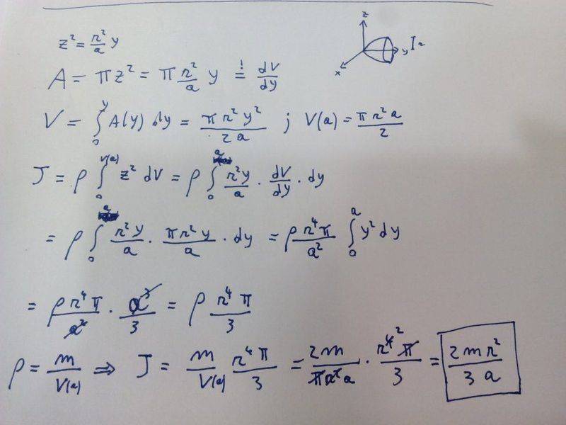
The discussion focuses on the calculation of the moment of inertia J for an object revolving around the y-axis, specifically using the function z² = (r²/a) y. The correct formula for the moment of inertia, as concluded by the participants, is (2 m r²) / 3, which does not include the variable "a". Participants identified errors in the initial calculations and confirmed the correct approach to derive the moment of inertia based on uniform density and the specified limits of y from 0 to "a".

PREREQUISITES
  • Understanding of moment of inertia concepts
  • Familiarity with calculus, particularly integration
  • Knowledge of uniform density properties
  • Basic understanding of cylindrical coordinates
NEXT STEPS
  • Study the derivation of moment of inertia for various shapes
  • Learn about integration techniques in cylindrical coordinates
  • Explore applications of moment of inertia in physics and engineering
  • Review uniform density calculations in solid mechanics
USEFUL FOR

Students and professionals in physics, mechanical engineering, and applied mathematics who are involved in calculating moments of inertia and understanding rotational dynamics.

Marvin94
Messages
41
Reaction score
0
Looking at the image below, we have the function

[itex]z^2=\frac{r^2}{a} y[/itex]revolving about y-axis. We know that y goes from 0 to "a". We also know the mass of the object (of uniform density). Do you think is my procedure correct? Do you get the same result?

IMG_20150729_183245.jpg
 
Physics news on Phys.org
I did wrong calculation. The results should be

(2 m r^2) / 3

without "a".
 

Similar threads

  • · Replies 1 ·
Replies
1
Views
2K
  • · Replies 10 ·
Replies
10
Views
3K
  • · Replies 5 ·
Replies
5
Views
5K
  • · Replies 6 ·
Replies
6
Views
6K
Replies
3
Views
1K
  • · Replies 15 ·
Replies
15
Views
2K
  • · Replies 16 ·
Replies
16
Views
9K
Replies
25
Views
2K
  • · Replies 4 ·
Replies
4
Views
3K
  • · Replies 12 ·
Replies
12
Views
3K