Is This Solution Correct? Comparing My Answer to the Textbook's Solution

  • Thread starter Thread starter p3t3r1
  • Start date Start date
Click For Summary
SUMMARY

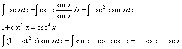
The discussion centers on the comparison between a user's solution to a mathematical problem and the textbook's solution. The user expresses uncertainty about the correctness of their answer, specifically noting a discrepancy involving the expression (cot² x * sin x) not being equal to (cot x * csc x). A suggestion is made to verify the solution by differentiating the answer, highlighting the importance of mathematical rigor in problem-solving.

PREREQUISITES
  • Understanding of trigonometric identities, specifically cotangent and cosecant.
  • Knowledge of differentiation techniques in calculus.
  • Familiarity with mathematical problem-solving and verification methods.
  • Ability to interpret and analyze solutions from textbooks.
NEXT STEPS
  • Review trigonometric identities, focusing on cotangent and cosecant relationships.
  • Practice differentiation of trigonometric functions to verify solutions.
  • Explore common pitfalls in solving trigonometric equations.
  • Study the process of comparing personal solutions with established textbook answers.
USEFUL FOR

Students studying calculus, mathematics educators, and anyone looking to improve their problem-solving skills in trigonometry and differentiation.

p3t3r1
Messages
32
Reaction score
0
I solved this question a bit differently from the textbook's solution manual and got a very different answer. I am wondering if this solution is sound? Thanks.
 

Attachments

  • CAPA2-01.gif
    CAPA2-01.gif
    1.2 KB · Views: 519
Physics news on Phys.org
Well you can always check yourself by differentiating your answer. However, on the last line (cot^2 x * sinx) is not equal to cotx * csc x.
 
I like the first line. I'ma try that next time and get wowz.
 

Similar threads

Replies
68
Views
6K
  • · Replies 8 ·
Replies
8
Views
4K
  • · Replies 7 ·
Replies
7
Views
2K
  • · Replies 6 ·
Replies
6
Views
3K
  • · Replies 9 ·
Replies
9
Views
1K
  • · Replies 1 ·
Replies
1
Views
2K
  • · Replies 8 ·
Replies
8
Views
2K
  • · Replies 4 ·
Replies
4
Views
8K
  • · Replies 3 ·
Replies
3
Views
1K
  • · Replies 0 ·
Replies
0
Views
3K