[Kinematics] Calculating the maximum height reached by the ball

Click For Summary

Homework Help Overview

The discussion revolves around a kinematics problem involving the calculation of the maximum height reached by a ball. Participants are exploring the use of specific equations of motion to arrive at the solution.

Discussion Character

  • Exploratory, Assumption checking, Mathematical reasoning

Approaches and Questions Raised

  • The original poster attempts to solve the problem using equations of motion but expresses confusion about obtaining the correct answer. Some participants point out a potential oversight regarding the sign of the acceleration, while others suggest a method for verification by calculating the position at twice the time to maximum height.

Discussion Status

The discussion is active, with participants providing feedback on the original poster's approach and suggesting checks to validate the calculations. There is acknowledgment of common pitfalls, such as sign errors, and a collaborative atmosphere as participants share insights.

Contextual Notes

There is an emphasis on the importance of correctly applying the equations of motion, particularly regarding the signs of the variables involved. The discussion also reflects on the assumptions made in the problem setup.

Slimy0233
Messages
167
Reaction score
48
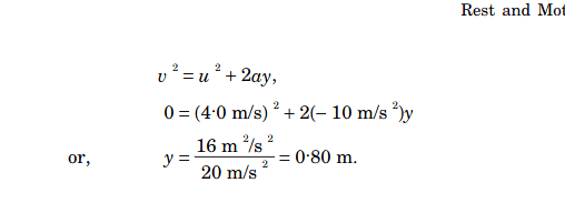
Homework Statement
A ball is thrown up at a speed of 4.0 m/s. Find the
maximum height reached by the ball. Take ##g = 10 m/s^2##
Relevant Equations
##v = u +at##
##S = ut +0.5(at^2)##
I realize I can solve the other way too. But I want to solve using the equations
##v = u +at##
##S = ut +0.5(at^2)##

and I don't know why I didn't get the right answer. Thank you for your help!
1687360824195.png

1687360845686.png
DocScanner 21-Jun-2023 20-45 (1).jpg
 
Physics news on Phys.org
You forgot the minus sign in front of the acceleration.
 
  • Like
  • Informative
Likes   Reactions: MatinSAR and Slimy0233
kuruman said:
You forgot the minus sign in front of the acceleration.
ahh.... my good old archnemesis: the minus sign.

Thank you for pointing that out!
 
An additional check to this kind of problem is to calculate the position at twice the time to maximum height. It should be zero because what goes up must come down, as they say.
 
  • Like
Likes   Reactions: MatinSAR and Slimy0233
kuruman said:
An additional check to this kind of problem is to calculate the position at twice the time to maximum height. It should be zero because what goes up must come down, as they say.
Thank you :smile: That's helpful. I will do that from now on.
 
  • Like
Likes   Reactions: kuruman

Similar threads

  • · Replies 7 ·
Replies
7
Views
3K
Replies
7
Views
3K
  • · Replies 8 ·
Replies
8
Views
4K
  • · Replies 2 ·
Replies
2
Views
5K
Replies
5
Views
2K
Replies
8
Views
2K
  • · Replies 4 ·
Replies
4
Views
3K
  • · Replies 14 ·
Replies
14
Views
4K
Replies
1
Views
2K
  • · Replies 4 ·
Replies
4
Views
2K