Lagrangian and Equations of Motion for Conical Pendulum

Click For Summary
SUMMARY

The discussion centers on the application of Lagrangian mechanics to analyze the motion of a conical pendulum. The user initially defined the potential energy as zero and applied Lagrange's equations, leading to a solution that assumes a constant angle θ. However, the response highlights that this approach is incorrect, as the conical pendulum is a system with two degrees of freedom, necessitating the formulation of two separate Lagrangian equations before deriving particular solutions. The user is advised to verify their results against Newton's laws for accuracy.

PREREQUISITES
  • Understanding of Lagrangian mechanics
  • Familiarity with angular velocity (ω) in rotational dynamics
  • Knowledge of potential energy concepts in physics
  • Basic principles of Newton's laws of motion
NEXT STEPS
  • Study the formulation of Lagrangian equations for systems with multiple degrees of freedom
  • Learn about the dynamics of spherical pendulums and their equations of motion
  • Explore the relationship between Lagrangian mechanics and Newtonian mechanics for verification
  • Investigate the implications of constraints in mechanical systems
USEFUL FOR

Physics students, mechanical engineers, and anyone interested in advanced dynamics and the application of Lagrangian mechanics to complex systems.

Mason Smith
Messages
21
Reaction score
2
Homework Statement
Consider a conical pendulum. This is a simple pendulum that, instead of swinging back and forth through an equilibrium point, traces out a right circular cone.
Relevant Equations
The Lagrangian is defined as the difference of the kinetic energy T and the potential energy U.
Lagrange's equations say that the partial derivative of the Lagrangian with respect to some generalized coordinate is equal to the time derivative of the partial derivative of the Lagrangian with respect to the time derivative of some generalized coordinate.
Here is a picture of the problem.
241122

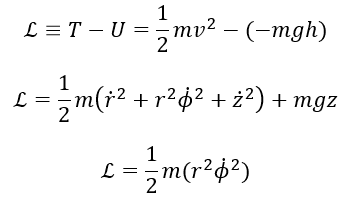
I have chosen the origin to lie in the middle of the circle around which the mass moves. I have also chosen the z axis to pass through the origin and through the vertex of the right circular cone. The x-axis and y-axis are so that one when curls his or her fingers from the x-axis to the y axis, the thumb of the right hand will point in the direction of the z axis. Since the mass lies in the xy plane, I have defined the potential energy U to be zero. This leads to
241123
.
Applying Lagrange's equations,
241125

where ω is the angular velocity.
While this result is convenient, it leads me to question its correctness. If I have made a mistake anywhere, then can anyone please point me in the correct direction for analyzing the motion of the mass? Thanks in advance! :)
 

Attachments

  • 1554081207723.png
    1554081207723.png
    1.9 KB · Views: 715
Physics news on Phys.org
This is alright. One way to check correctness is to double check your answer with Newton's laws(whenever possible)
 
So you have proved that for each ##\theta=const## the particle can rotate in horizontal plane with arbitrary speed . The solution is wrong. Spherical pendulum is a system with two degrees of freedom. You must write two Lagrangian equations first and only after that find particular solutions. Instead that you solve this problem as if it has an additional constraint ##\theta=const##
 
Last edited:

Similar threads

  • · Replies 15 ·
Replies
15
Views
3K
  • · Replies 3 ·
Replies
3
Views
1K
  • · Replies 11 ·
Replies
11
Views
3K
  • · Replies 3 ·
Replies
3
Views
3K
  • · Replies 9 ·
Replies
9
Views
3K
  • · Replies 4 ·
Replies
4
Views
3K
  • · Replies 2 ·
Replies
2
Views
2K
  • · Replies 4 ·
Replies
4
Views
4K
  • · Replies 1 ·
Replies
1
Views
2K
  • · Replies 1 ·
Replies
1
Views
2K