Line charge equation in electromagnetic

Click For Summary

Homework Help Overview

The discussion revolves around the finite line charge equation in electromagnetism, specifically focusing on the integral limits and the implications of charge density on the calculations. The original poster expresses confusion regarding the correct setup for integrating charge elements along a line charge.

Discussion Character

  • Exploratory, Assumption checking, Problem interpretation

Approaches and Questions Raised

  • The original poster attempts to derive the finite line charge equation but encounters discrepancies in their results based on the limits of integration. They raise questions about how to define these limits and the significance of the charge element's position.

Discussion Status

Some participants provide insights into the relationship between charge density and the sign of the differential charge element, suggesting that the direction of integration should align with the sign of dz to ensure positive charge contributions. There is ongoing exploration of how the electric field components relate to the charge positions, with participants questioning the conditions under which integral limits should be modified.

Contextual Notes

Participants discuss the implications of negative charge density and its effect on the integration process. The conversation highlights the need for clarity on the direction of electric fields and the importance of visualizing the problem to correctly interpret the signs in calculations.

baby_1
Messages
159
Reaction score
16
Hello
i have some questions about to obtain finite line charge equation.
as you know the equation of a finite line charge equation is
c{P_{0}}{4\pi%20\varepsilon%20r}\{(Cos\alpha%20+Cos\beta)\hat{ar}+(Sin\alpha-Sin\beta)\hat{az}\}.gif

1441945900_1370367384.jpg


now i want to demonstrate this equation.
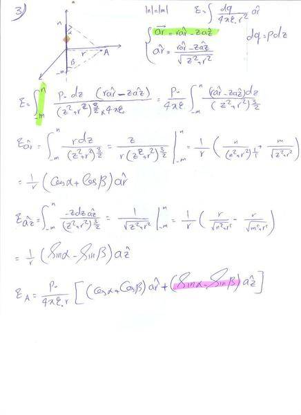
at first i assume that charge element on z>0 so
1-
3016779500_1370320473.jpg

i solve the problem but my final answer is different from the above answer.it seems the integral limitation give me a (-) to statement.so i change it in next step and find the correct answers
2-
5017509200_1370320476.jpg

as you see that answer is completely correct.

now here i have two questions
1-how can we define integral limitation?from low value to high?
2-does integral limitation change where we get charge element?

try the next steps
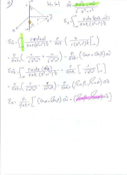
now i assume that charge element is z<0 so i resolve the problem
3-
1063247400_1370320477.jpg

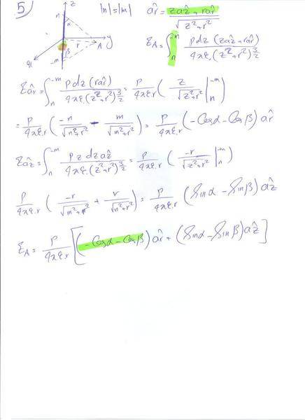
as you see the answer is different from the correct answer so i assume that i get wrong intergal limitation and resolve in next step
4-
7514832800_1370320479.jpg

again the answer is wrong from correct.


where is my problem?
1-now how can we define integral limitation?
2-is charge element situation important?
3-why we get different answers?

any help appreciated
 
Physics news on Phys.org
Hello baby_1.

The charge density ρ is positive. So, the charge dq is also positive. When you write dq = ρ dz you need to make sure dz is positive so that dq will come out positive. To make dz positive, you have to integrate in the direction of smaller to larger z. That is, integrate from –m to n. That is why your second method is correct and your first method gives the wrong overall sign.

When you are considering an element of charge dq located at negative values of z, then the ##\hat{a}_z## component of the field will be positive. But note that the expression ##\frac{-zdz}{\sqrt{z^2+r^2}}\hat{a}_z ## does point in the positive z direction because z is negative. So, you would not want to write ##\frac{+zdz}{\sqrt{z^2+r^2}}\hat{a}_z ## for charge elements with negative z (or positive z) because that would give the wrong direction. You should see that you can use the expression ##\frac{-zdz}{\sqrt{z^2+r^2}}\hat{a}_z ## for the entire integration from –m to n.
 
  • Like
Likes   Reactions: 1 person
Thank you Tsny So much . Love you
i asking above question for two month and no one can help me .Thank you again
now if there is no problem tell me more about this questions?

1-it means if we have negative charge density ρ then dq should be negative and we should define integral limitation form +m to -n?
2- "When you are considering an element of charge dq located at negative values of z, then the a^z component of the field will be positive" why component of the field should be positive? and when we should know that the statement of integral should be modified?
3-could you introduce me a book that tell me completely about these my problems?(or a book that show all the way that you mentioned?)

Thanks
 
baby_1 said:
1-it means if we have negative charge density ρ then dq should be negative and we should define integral limitation form +m to -n?
No. If ρ is negative, then dq must also be negative. So, when you write dq = ρ dz, what does the sign of dz have to be? Therefore, what direction would you integrate?

2- "When you are considering an element of charge dq located at negative values of z, then the a^z component of the field will be positive" why component of the field should be positive? and when we should know that the statement of integral should be modified?
If you look at your first picture, it shows the electric field dE from a dq located at positive z (B) and a dE from a dq located at negative z (A). Which of those two electric fields is produced by the charge at negative z? Is the z component of that electric field positive or negative?

3-could you introduce me a book that tell me completely about these my problems?(or a book that show all the way that you mentioned?)

Most introductory physics texts that cover integration over charge distributions will discuss this to some extent. But I can’t think of a particular book that goes into your type of question very thoroughly. Once you think through a few examples, you will be able to handle it.
 
  • Like
Likes   Reactions: 1 person
hello dear TSny
Thank you so much for accompany me in this problem
"No. If ρ is negative, then dq must also be negative. So, when you write dq = ρ dz, what does the sign of dz have to be? Therefore, what direction would you integrate?
"
according your explanation always we have dq positive and we integrate from small size to larger size?

"Which of those two electric fields is produced by the charge at negative z? Is the z component of that electric field positive or negative?"

Thanks i understand what you say.it means we should consider the direction of electric filed to define what we should change in integral statement?

"Most introductory physics texts that cover integration over charge distributions will discuss this to some extent. But I can’t think of a particular book that goes into your type of question very thoroughly. Once you think through a few examples, you will be able to handle it"

Thanks for your suggestion.we study this line charge in "filed and wave electromagnetic by david.cheng" book and it doesn't cover more examples about line charge and integration.if you could introduce me some books or a books for more examples and integration of a line charge i would appreciate you a lot

Than you
 
baby_1 said:
hello dear TSny
Thank you so much for accompany me in this problem
"No. If ρ is negative, then dq must also be negative. So, when you write dq = ρ dz, what does the sign of dz have to be? Therefore, what direction would you integrate?
"
according your explanation always we have dq positive and we integrate from small size to larger size?
It's dz that would need to be positive in this situation. So, you integrate from smaller to larger z.

Thanks i understand what you say.it means we should consider the direction of electric filed to define what we should change in integral statement?

Yes, you should always draw a picture and note the direction of the field so you can get the components of the field correct (including the signs).

Thanks for your suggestion.we study this line charge in "filed and wave electromagnetic by david.cheng" book and it doesn't cover more examples about line charge and integration.if you could introduce me some books or a books for more examples and integration of a line charge i would appreciate you a lot

Most standard textbooks will have some examples. As I recall, the textbook by Paul Tipler,https://www.amazon.com/dp/1572594926/?tag=pfamazon01-20, has quite a few examples worked out in detail.
 
Last edited by a moderator:
  • Like
Likes   Reactions: 1 person

Similar threads

  • · Replies 6 ·
Replies
6
Views
5K
  • · Replies 9 ·
Replies
9
Views
3K
  • · Replies 1 ·
Replies
1
Views
1K
Replies
3
Views
2K
  • · Replies 2 ·
Replies
2
Views
5K
  • · Replies 9 ·
Replies
9
Views
8K
  • · Replies 1 ·
Replies
1
Views
2K
  • · Replies 2 ·
Replies
2
Views
1K
Replies
1
Views
2K
  • · Replies 0 ·
Replies
0
Views
2K