Linear Equations Homework: Which are Line Equations?

Click For Summary

Homework Help Overview

The discussion revolves around identifying which equations qualify as linear equations within a set provided by the original poster. The subject area is linear equations in algebra.

Discussion Character

  • Conceptual clarification

Approaches and Questions Raised

  • The original poster presents their selections of equations they believe to be linear and seeks validation of their choices. Some participants affirm the correctness of these selections.

Discussion Status

The discussion includes confirmations of the original poster's selections, indicating that some participants find the answers to be correct. However, there is no exploration of alternative interpretations or deeper reasoning regarding the definitions of linear equations.

Contextual Notes

The original poster requests feedback on their understanding of linear equations, suggesting a focus on validating their interpretations rather than exploring the underlying principles in depth.

Mrencko
Messages
109
Reaction score
0

Homework Statement


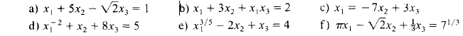
i am doing homework about linear equations, i am just asking if i am ok, whith my selection
the question is: from the next equations, which ones are line equations, in x1,x2 and x3?

Homework Equations



equations.png
[/B]

The Attempt at a Solution


the next are line; a,c,f
the next arent line; b,d,e
correct me if i am wrong please[/B]
 
Physics news on Phys.org
Looks right.
 
thanks, i apreciate your help
 
Mrencko said:

Homework Statement


i am doing homework about linear equations, i am just asking if i am ok, whith my selection
the question is: from the next equations, which ones are line equations, in x1,x2 and x3?

Homework Equations



View attachment 100077 [/B]

The Attempt at a Solution

:[/B]
the next are line; a,c,f
the next arent line; b,d,e
correct me if i am wrong please
The terminology is "linear equation".

Your answers are correct.
 

Similar threads

Replies
7
Views
2K
Replies
17
Views
3K
Replies
6
Views
2K
  • · Replies 6 ·
Replies
6
Views
3K
Replies
5
Views
2K
  • · Replies 16 ·
Replies
16
Views
3K
  • · Replies 6 ·
Replies
6
Views
2K
  • · Replies 23 ·
Replies
23
Views
3K
  • · Replies 6 ·
Replies
6
Views
2K
  • · Replies 6 ·
Replies
6
Views
5K