Linear transformations, images for continuous functions

Click For Summary

Homework Help Overview

The discussion revolves around linear transformations in the context of continuous real functions defined on the interval [0, π]. The original poster presents a transformation T that associates a function g with a function f through an integral involving cosine. The participants explore the properties of this transformation, including its linearity, the nature of its image, and the characteristics of its null space.

Discussion Character

  • Exploratory, Conceptual clarification, Mathematical reasoning, Problem interpretation, Assumption checking

Approaches and Questions Raised

  • Some participants attempt to demonstrate the linearity of T by manipulating the integral definition. Others question the implications of the transformation's output being defined outside the original function's interval. There is also discussion about identifying the image of T and finding a basis for it, with some suggesting the use of trigonometric identities. Participants raise questions about the kernel of T and the dimensionality of its null space, with attempts to identify specific functions that belong to it.

Discussion Status

The discussion is ongoing, with various participants offering insights and attempting to clarify aspects of the problem. Some guidance has been provided regarding the structure of the transformation and the nature of its kernel, but there is no explicit consensus on the image or basis yet. Multiple interpretations of the problem are being explored, and participants are actively engaging with each other's ideas.

Contextual Notes

Participants note the need for clarity on whether the output function g is defined outside the interval [0, π], as this was not specified in the original problem statement. There is also mention of homework constraints and the importance of adhering to forum rules regarding assistance.

member 428835

Homework Statement


Let ##C## be the space of continuous real functions on ##[0,\pi]##. With any function ##f\in C##, associate another function ##g=T(f)## defined by $$g=T(f)\equiv \int_0^\pi \cos(t-\tau) f(\tau) \, d \tau$$
a) Show ##T## is a linear transformation from ##C## to ##C##.
b)What is the image of ##T##? Find a basis for it.
c) List a set of linearly independent vectors that are in the null space of ##T##. What is ##dimN(T)##?

Homework Equations


Linear algebra stuff. Too much to write I think.

The Attempt at a Solution


a)##T(af + bg) = \int\cos(t-\tau)(af + bg) = \int\cos(t-\tau)af + \int\cos(t-\tau)bg = a\int\cos(t-\tau)f + b\int\cos(t-\tau)g = aT(f)+bT(g)##.
b) I want to say the space of continuous real functions on ##[0,\pi]##. Does this even make sense though?
c)By inspection, ##a\sin(t-\tau)## but this is all I can see. Are there any others? In this case, I would say ##dimN(T) = 1## so far since I can only think of the one example. Obviously ##0## is as well but this is not linearly independent of what I have listed.
 
Physics news on Phys.org
joshmccraney said:

Homework Statement


Let ##C## be the space of continuous real functions on ##[0,\pi]##. With any function ##f\in C##, associate another function ##g=T(f)## defined by $$g=T(f)\equiv \int_0^\pi \cos(t-\tau) f(\tau) \, d \tau$$
a) Show ##T## is a linear transformation from ##C## to ##C##.
b)What is the image of ##T##? Find a basis for it.
c) List a set of linearly independent vectors that are in the null space of ##T##. What is ##dimN(T)##?

Homework Equations


Linear algebra stuff. Too much to write I think.

The Attempt at a Solution


a)##T(af + bg) = \int\cos(t-\tau)(af + bg) = \int\cos(t-\tau)af + \int\cos(t-\tau)bg = a\int\cos(t-\tau)f + b\int\cos(t-\tau)g = aT(f)+bT(g)##.
b) I want to say the space of continuous real functions on ##[0,\pi]##. Does this even make sense though?
c)By inspection, ##a\sin(t-\tau)## but this is all I can see. Are there any others? In this case, I would say ##dimN(T) = 1## so far since I can only think of the one example. Obviously ##0## is as well but this is not linearly independent of what I have listed.

Even if ##f(\tau)## is defined only on ##\tau \in [0,\pi]##, is ##g(t)## defined for ##t## outside the interval ##[0,\pi]##?
 
Ray Vickson said:
Even if ##f(\tau)## is defined only on ##\tau \in [0,\pi]##, is ##g(t)## defined for ##t## outside the interval ##[0,\pi]##?
This was not specified, so I'm leaning towards no.
 
joshmccraney said:

Homework Statement


Let ##C## be the space of continuous real functions on ##[0,\pi]##. With any function ##f\in C##, associate another function ##g=T(f)## defined by $$g=T(f)\equiv \int_0^\pi \cos(t-\tau) f(\tau) \, d \tau$$
a) Show ##T## is a linear transformation from ##C## to ##C##.
b)What is the image of ##T##? Find a basis for it.
c) List a set of linearly independent vectors that are in the null space of ##T##. What is ##dimN(T)##?

Homework Equations


Linear algebra stuff. Too much to write I think.

[itex]\cos(t - \tau) = \cos t \cos \tau + \sin t \sin \tau[/itex] seems extremely relevant, as it should solve part (b) for you.

The Attempt at a Solution


a)##T(af + bg) = \int\cos(t-\tau)(af + bg) = \int\cos(t-\tau)af + \int\cos(t-\tau)bg = a\int\cos(t-\tau)f + b\int\cos(t-\tau)g = aT(f)+bT(g)##.
b) I want to say the space of continuous real functions on ##[0,\pi]##. Does this even make sense though?

Part (a) required you also to show that [itex]T(f) \in C[/itex] for every [itex]f \in C[/itex]. Part (b) requires you to go further.

c)By inspection, ##a\sin(t-\tau)## but this is all I can see. Are there any others? In this case, I would say ##dimN(T) = 1## so far since I can only think of the one example. Obviously ##0## is as well but this is not linearly independent of what I have listed.

Doing part (b) properly will suggest further examples of vectors in [itex]\ker T[/itex].
 
pasmith said:
[itex]\cos(t - \tau) = \cos t \cos \tau + \sin t \sin \tau[/itex] seems extremely relevant, as it should solve part (b) for you.
I don't follow you. I can't see how this identity helps us find the image of ##T##. Could you elaborate?
pasmith said:
Part (a) required you also to show that [itex]T(f) \in C[/itex] for every [itex]f \in C[/itex]. Part (b) requires you to go further.
How to you go about showing this part of a)? I would try but I don't know where to start.

Thanks for replying!
 
joshmccraney said:
I don't follow you. I can't see how this identity helps us find the image of ##T##. Could you elaborate?

Try expressing [itex]T(f)[/itex] in the form [tex] T(f) =\int_0^\pi \left(\sum_{n=1}^N A_n(t)B_n(\tau)\right)f(\tau)\,d\tau = \sum_{n=1}^N A_n(t) \int_0^\pi B_n(\tau) f(\tau)\,d\tau.[/tex]
 
joshmccraney said:
I don't follow you. I can't see how this identity helps us find the image of ##T##. Could you elaborate?
How to you go about showing this part of a)? I would try but I don't know where to start.

Thanks for replying!

I think that PF rules forbid us from answering that question.
 
pasmith said:
Try expressing [itex]T(f)[/itex] in the form [tex] T(f) =\int_0^\pi \left(\sum_{n=1}^N A_n(t)B_n(\tau)\right)f(\tau)\,d\tau = \sum_{n=1}^N A_n(t) \int_0^\pi B_n(\tau) f(\tau)\,d\tau.[/tex]
So something like this $$\int_0^\pi \cos(t-\tau)f(\tau) \, d\tau = \int_0^\pi (\cos t\cos\tau +\sin t \sin \tau)f(\tau) \, d\tau\\ = \cos t\int_0^\pi\cos\tau f(\tau) \, d \tau + \sin t \int_0^\pi\sin \tau f(\tau) \, d\tau$$ But I still don't see how this helps us find a basis. If you feel uncomfortable helping me with this one since I clearly can't do it well, perhaps we could make a simpler example and you could help me through it so I can see the strategy? I don't want to violate the rules on PF, I'm just confused how all of this is related.
 
[itex]\int_0^\pi \cos \tau f(\tau)\,d\tau[/itex] is a definite integral of a real-valued function, so it's just a real number!
 
  • Like
Likes   Reactions: micromass
  • #10
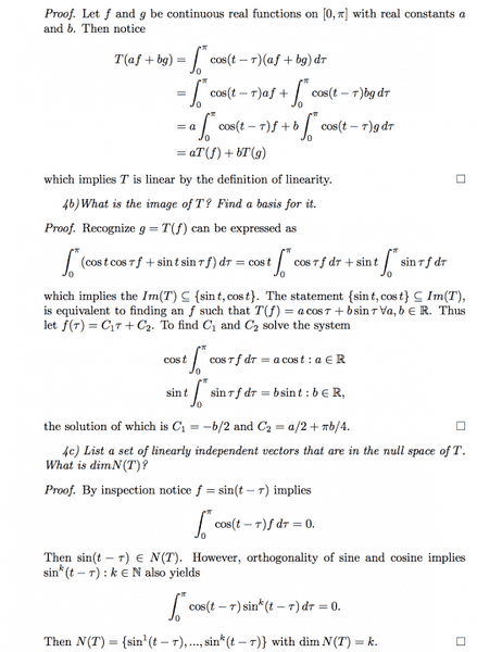
How does this look?
 

Attachments

  • Screen Shot 2016-09-12 at 5.33.31 PM.png
    Screen Shot 2016-09-12 at 5.33.31 PM.png
    66.1 KB · Views: 490
  • #11
You need to rethink the kernel.

I sense some confusion. The input of [itex]T[/itex] is a function of one real variable, which we are labelling [itex]\tau[/itex]. The output of [itex]T[/itex] is another function of one real variable, which we are labelling [itex]t[/itex]. Setting [itex]f(\tau) = \sin(t - \tau)[/itex] therefore is nonsense; trying [itex]f(\tau) = \sin (\alpha - \tau)[/itex] for real [itex]\alpha[/itex] makes sense, but it turns out that that is not in the kernel for any [itex]\alpha[/itex].

Finding functions in the kernel is actually straightforward: You can readily show that if [itex]h(\tau) = a \cos \tau + b \sin \tau[/itex] then [itex]T(h) = \frac{\pi}{2}h[/itex], and having established that the image of [itex]T[/itex] is the space spanned by [itex]\cos[/itex] and [itex]\sin[/itex] it then follows that [tex] T^2(f) = \tfrac{\pi}2T(f)[/tex] for all [itex]f \in C[/itex], and hence by linearity of [itex]T[/itex] that [tex] T(f) - \tfrac{\pi}{2}f \in \ker T[/tex] for every [itex]f \in C[/itex]. This gives you a way to easily find non-trivial members of the kernel, provided you are careful with your choice of [itex]f[/itex].
 
  • Like
Likes   Reactions: member 428835
  • #12
Thanks! I really appreciate your help!
 

Similar threads

Replies
2
Views
2K
  • · Replies 1 ·
Replies
1
Views
2K
  • · Replies 2 ·
Replies
2
Views
2K
  • · Replies 3 ·
Replies
3
Views
2K
  • · Replies 18 ·
Replies
18
Views
2K
  • · Replies 1 ·
Replies
1
Views
3K
  • · Replies 23 ·
Replies
23
Views
3K
  • · Replies 11 ·
Replies
11
Views
3K
Replies
8
Views
2K
Replies
4
Views
2K