McInerney Example 3.1.5: Multivariable Differentiation Q&A

Click For Summary

Discussion Overview

The discussion centers around Example 3.1.5 from Andrew McInerney's book on multivariable differentiation, specifically addressing the differentiability of a function $$\mu$$ and the calculation of its derivative at a point in $$\mathbb{R}^2$$. Participants seek clarification on the definitions and implications of differentiability, as well as the limit involving the product of two variables approaching zero.

Discussion Character

  • Exploratory
  • Technical explanation
  • Debate/contested
  • Mathematical reasoning

Main Points Raised

  • One participant questions the differentiability of $$\mu$$ for all $$a = (a_1, a_2) \in \mathbb{R}^2$$ and seeks an explanation for the derivative $$D \mu (a_1, a_2) (h_1, h_2) = a_1 h_2 + a_2 h_1$$.
  • Another participant provides a detailed breakdown of the function $$f(x,y)=xy$$, showing how to express $$f(a+h)$$ and identify the linear transformation $$T_a(h)$$.
  • There is a repeated emphasis on the limit $$\lim_{ \mid \mid h \mid \mid \to 0} \frac{ \mid h_1 h_2 \mid }{ \sqrt{ h_1^2 + h_2^2 } } = 0$$, with one participant demonstrating the reasoning behind this limit using inequalities.
  • A later reply discusses the general approach to finding the derivative of functions like $$f(x,y)=xy$$, suggesting that for linear functions, the derivative can be expressed in terms of the function's values and the linear transformation.
  • Another participant raises a question about the most efficient way to calculate the derivative of $$f(x,y)=xy$$ and inquires about the appropriate formula to use.

Areas of Agreement / Disagreement

Participants express various viewpoints on the definitions and implications of differentiability and the calculation of derivatives. There is no consensus on the most efficient method for calculating derivatives, and the discussion remains unresolved regarding the best approach.

Contextual Notes

Some participants rely on specific definitions and properties of differentiability that may not be universally accepted, and there are unresolved mathematical steps in the reasoning presented.

Math Amateur
Gold Member
MHB
Messages
3,920
Reaction score
48
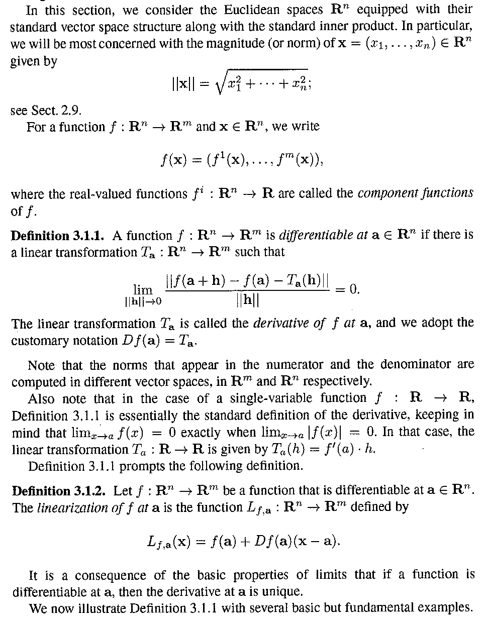
I am reading Andrew McInerney's book: First Steps in Differential Geometry: Riemannian, Contact, Symplectic ... and I am focused on Chapter 3: Advanced Calculus ... and in particular on Section 3.1: The Derivative and Linear Approximation ...

In Section 3.1 McInerney defines what is meant by a function $$f: \mathbb{R}^n \to \mathbb{R}^m$$ being differentiable and also defines the derivative of $$f$$ at a point $$a \in \mathbb{R}^n$$ ...

... see the scanned text below for McInerney's definitions and notation ...

... McInerney then gives several examples ... I need help with several aspects of Example 3.1.5 which reads as follows:
View attachment 8914I have two questions with respect to Example 3.1.5 ...Question 1

In the above text from McInerney we read the following:

"... ... Then $$\mu$$ is differentiable for all $$a = (a_1, a_2) \in \mathbb{R}^2$$ and $$D \mu (a_1, a_2) (h_1, h_2) = a_1 h_2 + a_2 h_1$$ ... .. Can someone explain exactly how/why ...

(a) $$\mu$$ is differentiable for all $$a = (a_1, a_2) \in \mathbb{R}^2$$

and ...

(b)$$ D \mu (a_1, a_2) (h_1, h_2) = a_1 h_2 + a_2 h_1$$ ... .. that is how/why is this true ...(especially given that McInerney has only just defined differentiable and the derivative!)
Question 2

In the above text from McInerney we read the following:

"... ... $$\displaystyle \lim_{ \mid \mid h \mid \mid \to 0} \frac{ \mid h_1 h_2 \mid }{ \sqrt{ h_1^2 + h_2^2 } } = 0$$ ... ... Can someone please show and explain exactly how/why it is that $$\displaystyle \lim_{ \mid \mid h \mid \mid \to 0} \frac{ \mid h_1 h_2 \mid }{ \sqrt{ h_1^2 + h_2^2 } } = 0 $$... ...
Help will be much appreciated ... ...

Peter==========================================================================

It may help members reading the above post to have access to the text at the start of Section 3.1 of McInerney ... if only to give access to McInerney's terminology and notation ... so I am providing access to the text at the start of Section 3.1 ... as follows:
View attachment 8915
Hope that helps ...

Peter
 

Attachments

  • McInerney - Example 3.1.5 ... ....png
    McInerney - Example 3.1.5 ... ....png
    7.2 KB · Views: 164
  • McInerney - Start of Section 3.1 ... ....png
    McInerney - Start of Section 3.1 ... ....png
    27.8 KB · Views: 165
Last edited:
Physics news on Phys.org
When $f(x,y)=xy$ then if $a=({a}_{1},{a}_{2})$ and $h=({h}_{1},{h}_{2})$,
$f(a+h)=f({a}_{1}+{h}_{1},{a}_{2}+{h}_{2})=({a}_{1}+{h}_{1})({a}_{2}+{h}_{2})$
$={a}_{1}{a}_{2}+{a}_{1}{h}_{2}+{a}_{2}{h}_{1}+{h}_{1}{h}_{2}$
$=f({a}_{1},{a}_{2})+{T}_{a}({h}_{1},{h}_{2})+{h}_{1}{h}_{2}$
where ${T}_{a}({h}_{1},{h}_{2})={a}_{1}{h}_{2}+{a}_{2}{h}_{1}$ is a linear transformation in h.
So $f(a+h)=f(a)+{T}_{a}(h)+{h}_{1}{h}_{2}$ you can let $ \phi(h)={h}_{1}{h}_{2}$ .
Now $\frac{\parallel f(a+h)-f(a)-{T}_{a}(h)\parallel}{\parallel h \parallel}$
$=\frac{\parallel \phi(h)\parallel}{\parallel h \parallel}=\frac{\parallel {h}_{1}{h}_{2}\parallel}{\parallel h \parallel}$.
In $R$ you have $\parallel {h}_{1}{h}_{2}\parallel=\left|{{h}_{1}{h}_{2}}\right|$ and in ${R}^{2}$
$\parallel h \parallel=\sqrt{{h}_{1}^{2}+{h}_{2}^{2}}$. And
$\left|{{h}_{1}}\right|\le\sqrt{{h}_{1}^{2}+{h}_{2}^{2}}$ and $\left|{{h}_{2}}\right|\le\sqrt{{h}_{1}^{2}+{h}_{2}^{2}}$.
So $0\le \frac{\left|{{h}_{1}{h}_{2}}\right|}{\parallel h \parallel}\le\sqrt{{h}_{1}^{2}+{h}_{2}^{2}}$
And $\lim_{{h}\to{0}} \frac{\left|{{h}_{1}{h}_{2}}\right|}{\parallel h \parallel}=0$
 
MathProfessor said:
When $f(x,y)=xy$ then if $a=({a}_{1},{a}_{2})$ and $h=({h}_{1},{h}_{2})$,
$f(a+h)=f({a}_{1}+{h}_{1},{a}_{2}+{h}_{2})=({a}_{1}+{h}_{1})({a}_{2}+{h}_{2})$
$={a}_{1}{a}_{2}+{a}_{1}{h}_{2}+{a}_{2}{h}_{1}+{h}_{1}{h}_{2}$
$=f({a}_{1},{a}_{2})+{T}_{a}({h}_{1},{h}_{2})+{h}_{1}{h}_{2}$
where ${T}_{a}({h}_{1},{h}_{2})={a}_{1}{h}_{2}+{a}_{2}{h}_{1}$ is a linear transformation in h.
So $f(a+h)=f(a)+{T}_{a}(h)+{h}_{1}{h}_{2}$ you can let $ \phi(h)={h}_{1}{h}_{2}$ .
Now $\frac{\parallel f(a+h)-f(a)-{T}_{a}(h)\parallel}{\parallel h \parallel}$
$=\frac{\parallel \phi(h)\parallel}{\parallel h \parallel}=\frac{\parallel {h}_{1}{h}_{2}\parallel}{\parallel h \parallel}$.
In $R$ you have $\parallel {h}_{1}{h}_{2}\parallel=\left|{{h}_{1}{h}_{2}}\right|$ and in ${R}^{2}$
$\parallel h \parallel=\sqrt{{h}_{1}^{2}+{h}_{2}^{2}}$. And
$\left|{{h}_{1}}\right|\le\sqrt{{h}_{1}^{2}+{h}_{2}^{2}}$ and $\left|{{h}_{2}}\right|\le\sqrt{{h}_{1}^{2}+{h}_{2}^{2}}$.
So $0\le \frac{\left|{{h}_{1}{h}_{2}}\right|}{\parallel h \parallel}\le\sqrt{{h}_{1}^{2}+{h}_{2}^{2}}$
And $\lim_{{h}\to{0}} \frac{\left|{{h}_{1}{h}_{2}}\right|}{\parallel h \parallel}=0$
Thanks MathProfessor ...

Appreciate your help ... but just another question ...

How would you find/calculate the derivative of $f(x,y)=xy$ ... in the most efficient way ... indeed, what formula would you use ... ?

Thanks again,

Peter
 
For every function which is linear with respect to x and y like f(x,y)=xy, the derivative is
Ta(h1,h2)=f(a1,h2)+f(h1,a2)
which satisfies $\lim_{h \to 0}\frac{\parallel f(x)-f(a)-T_a(h)\parallel}{\parallel h \parallel}=0$. this uses the fact that there exists some positive constant C such that $\parallel f(h_1,h_2) \parallel \le C \parallel h_1 \parallel \parallel h_2 \parallel $
If f is not linear with respect to x and y, f must have the first partial derivatives defined at point a. In this case the derivative of f at point a is given by
$T_a(h_1,h_2)=\frac {\partial f}{\partial x}(a_1,a_2)h_1+\frac {\partial f}{\partial y}(a_1,a_2)h_2$ if it satisfies the limit
$\lim_{h \to 0}\frac{\parallel f(x)-f(a)-T_a(h)\parallel}{\parallel h \parallel}=0$.
 

Similar threads

  • · Replies 11 ·
Replies
11
Views
3K
  • · Replies 2 ·
Replies
2
Views
2K
  • · Replies 2 ·
Replies
2
Views
2K
Replies
2
Views
2K
  • · Replies 1 ·
Replies
1
Views
2K
  • · Replies 4 ·
Replies
4
Views
2K
Replies
2
Views
2K
Replies
2
Views
2K
  • · Replies 22 ·
Replies
22
Views
4K
Replies
2
Views
2K