Meaning of \gamma{\mu}, \gamma{\nu} in Rows 1,2,3

  • Context: Graduate 
  • Thread starter Thread starter sunkesheng
  • Start date Start date
  • Tags Tags
    Means
Click For Summary

Discussion Overview

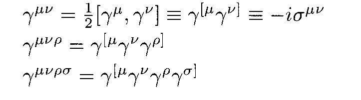
The discussion revolves around the meaning of the symbols \(\gamma{\mu}\) and \(\gamma{\nu}\) in specific rows of a mathematical expression, likely related to quantum field theory or particle physics. Participants explore the implications of these symbols, particularly focusing on the anticommutator and its definitions across different rows.

Discussion Character

  • Technical explanation, Conceptual clarification, Debate/contested

Main Points Raised

  • One participant notes that the first row indicates an anticommutator between \(\gamma{\mu}\) and \(\gamma{\nu}\) but questions the meaning in the subsequent rows.
  • Another participant suggests that the indices should be antisymmetrized and implies that understanding the first row can help deduce the meanings in the second and third rows.
  • One participant references finding clarification in Weinberg's book, indicating a source for further understanding.
  • There is a mention of an image from Peskin, with participants confirming its source and discussing the connection between Peskin and Weinberg.

Areas of Agreement / Disagreement

Participants express some agreement on the definition of the anticommutator but do not reach a consensus on the meanings in the second and third rows, leaving the discussion somewhat unresolved.

Contextual Notes

There may be limitations in understanding due to missing assumptions or definitions related to the symbols and their context in the mathematical framework.

sunkesheng
Messages
10
Reaction score
0
i can see the mean of "[]" in the first row,it is the anticommunicater between \gamma{\mu} and \gamma{\nu}, but what it mean in the second row and the third?

thanks
 

Attachments

  • p0071-sel.jpg
    p0071-sel.jpg
    12.3 KB · Views: 443
Physics news on Phys.org
that means that the indicies should be antisymmetrized,

from the first you see it is a DEFINITION of the anticommutator, so you should be able to figure out what the third and second line is :)
 
thanks ,i found it in weinberge`s book vol.1
 
sunkesheng said:
thanks ,i found it in weinberge`s book vol.1

cool, the image you posted is from Peskin right?
 
ansgar said:
cool, the image you posted is from Peskin right?

that is right,and peskin had learned from weinberge,hh
 
Last edited:

Similar threads

  • · Replies 6 ·
Replies
6
Views
3K
  • · Replies 6 ·
Replies
6
Views
4K
  • · Replies 49 ·
2
Replies
49
Views
7K
  • · Replies 3 ·
Replies
3
Views
943
  • · Replies 3 ·
Replies
3
Views
2K
  • · Replies 1 ·
Replies
1
Views
2K
  • · Replies 38 ·
2
Replies
38
Views
6K
  • · Replies 3 ·
Replies
3
Views
2K
  • · Replies 1 ·
Replies
1
Views
3K
  • · Replies 2 ·
Replies
2
Views
2K