Moment of inertia about the origin for the lamina

Click For Summary
SUMMARY

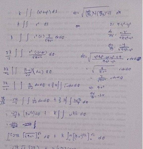
The moment of inertia about the origin for a lamina defined by the surface of the sphere \(x^2 + y^2 + z^2 = 9\) with the condition \(z > 2\) is calculated to be \(16\pi k\), where \(k\) represents the area density. The discussion highlights errors in the initial calculations, particularly the omission of a square root in the expression for \(z\) and unnecessary substitutions that complicate the integration process. The correct approach involves integrating over circular bands of constant \(z\), leading to a straightforward integral that confirms the result of \(16\pi k\).

PREREQUISITES
  • Understanding of moment of inertia concepts
  • Familiarity with spherical coordinates
  • Knowledge of integration techniques in calculus
  • Basic principles of density in physics
NEXT STEPS
  • Study spherical coordinate transformations in calculus
  • Learn about moment of inertia calculations for various shapes
  • Explore integration techniques for circular bands
  • Review the derivation of area density in lamina problems
USEFUL FOR

Students studying physics or engineering, particularly those focusing on mechanics and calculus, as well as educators looking for examples of moment of inertia calculations.

fonseh
Messages
521
Reaction score
2

Homework Statement


find the moment of inertia about the origin for the lamina which the surface of sphere (x^2) + (y^2) +(z^2) = 9 . z>2 . Given that density is a constant . Here's my wroking

The ans is 16pi (k) , but my ans is different , is my ans wrong ?
If so , which part is wrong ?
I have checked thru the working many times, yet , still can't find the error

Homework Equations

The Attempt at a Solution

 

Attachments

  • DSC_0038.JPG
    DSC_0038.JPG
    42 KB · Views: 593
Physics news on Phys.org
Note that a moment of inertia is about an axis, not a point. In this case I assume you meant the z axis.

I haven't worked right through your answer, and it contains some errors, for example the expression for ##z## is missing a square root, which however seems to have been assumed below. You then appear to have done a substitution which doesn't seem necessary and makes it more complicated.

I would do this question by integrating over circular bands of constant ##z##, where the mass of each band is ##2 \pi r## times its width which is ##\sqrt{dz^2 + dr^2}## where obviously you need to express ##dr## in terms of ##dz## before you integrate it. The resulting integral is simple. I make the answer ##16 \pi k## where ##k## is the area density.
 

Similar threads

  • · Replies 2 ·
Replies
2
Views
2K
Replies
3
Views
4K
  • · Replies 32 ·
2
Replies
32
Views
4K
  • · Replies 5 ·
Replies
5
Views
5K
Replies
1
Views
2K
  • · Replies 4 ·
Replies
4
Views
2K
  • · Replies 2 ·
Replies
2
Views
2K
  • · Replies 11 ·
Replies
11
Views
1K
  • · Replies 15 ·
Replies
15
Views
2K
Replies
2
Views
3K