Non orthogonal basis and the lines of its coordinate grid

Click For Summary

Discussion Overview

The discussion revolves around the concept of non-orthogonal bases in linear algebra, particularly focusing on how the representation of vectors and their dot products can change depending on the chosen basis. Participants explore the implications of these changes in terms of geometric interpretations and mathematical properties.

Discussion Character

  • Exploratory
  • Technical explanation
  • Debate/contested

Main Points Raised

  • One participant describes the nature of bases in 2D space, noting that a basis is formed by two independent, non-collinear vectors and that any vector can be expressed as a linear combination of these basis vectors.
  • Another participant confirms the correctness of the initial claims and introduces the concept of an inner product, which retains properties similar to the dot product and is basis-dependent.
  • There is a discussion on whether the dot product changes with different bases, with some participants asserting that it does, while others express uncertainty about the invariance of the dot product across bases.
  • One participant highlights that two vectors orthogonal in one basis may not be orthogonal in another, raising questions about the geometric interpretation of the dot product in non-orthogonal bases.
  • Another participant emphasizes that the scalar product's formula is valid only in orthogonal coordinates and must be generalized for non-orthogonal coordinates.

Areas of Agreement / Disagreement

Participants generally agree that the dot product is dependent on the basis used for representation, but there is no consensus on the implications of this dependence for geometric interpretations of orthogonality.

Contextual Notes

The discussion reveals limitations in understanding how the dot product behaves under different bases, particularly regarding the conditions under which orthogonality is preserved or lost. There are unresolved questions about the generalization of the dot product formula for non-orthogonal coordinates.

fog37
Messages
1,566
Reaction score
108
Hello,
I have watched a really good Youtube video on linear algebra by Dr. Trefor Bazett and it made me think about a question...

()

Personal Review
A basis in 2D space is formed by any two independent vectors that are not collinear geometrically. Any vector in the 2D space can then be constructed as a linear superposition of the two basis vectors. A basis has its own coordinate system grid defined by drawing lines parallel to each basis vector. There are standard and nonstandard (non-orthogonal) bases. As soon as we draw two unit length perpendicular vector on a white page, we have implicitly created our standard basis ##E##. Any other pair of noncollinear vectors at some angle is a non-orthogonal basis...Fine.

Example:
The basis ##C## is composed of basis vector ##c_1## and ##c_2## which are sketched as non-orthogonal vectors.
Such vectors have, with respect to the standard basis ##E##, the following coordinates: ##c_1= (1,-1)## and ##c_2=(0,2)## with ##C##={##c_1##, ##c_2##}:

1712412752716.png


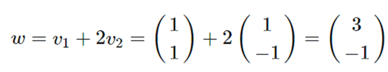
An arbitrary vector ##w## has coordinates ##(3,2)## according to basis ##C## and coordinates ##(3,1)## according to the standard basis E {##e_1## , ##e_2##}:

From the perspective of the standard basis ##E##
  • Its basis vectors ##e_1## and ##e_2## have coordinates ##(1,0)## and ##(0,1)##. Vector ##w## has coordinates ##(3,1)##. The basis vectors see their coordinate grid as a set of parallel and perpendicular lines.
  • The basis vectors of basis ##C## have coordinates ##(1,-1)## and ##(0,2)##, they are not orthogonal, and the coordinate grid of ##B## appears slanted!
1712412752716.png


From the perspective of the basis ##C##
  • Its basis vectors ##c_1## and ##c_2## have coordinates ##(1,0)## and ##(0,1)## and ##B## feels like it is the standard basis now.
  • Vector ##w## has coordinates ##(3,2)## in basis ##C##. The basis vectors ##c_1## and ##c_2## see their coordinate grid as a set of parallel and perpendicular lines and they also see themselves as orthogonal while they view the basis vector of basis ##E## as non-orthogonal.
  • 1712412934241.png
So, we call a basis orthogonal or non-orthogonal always relative to another basis. Every basis judges itself orthogonal and with a rectangular coordinate grid while the coordinate grids of other bases can be orthogonal or non-orthogonal....Is that correct?

Dot product: the dot product measures if two vectors are orthogonal/perpendicular (dot product=zero equal perpendicular). From the standard basis, we sketch the basis vectors ##c_1## and ##c_2## as non orthogonal with a nonzero dot product. However, from within basis ##C##, its basis ##c_1## and ##c_2## are now perpendicular with zero dot product and the basis vectors ##e_1## and ##e_2## are now not orthogonal...

Are my conclusion correct?

Does the dot product for two arbitrary vectors change depending from the basis perspective? So the dot product is basis dependent the same as the lack or presence of geometrical perpendicularity? I imagine that if the basis vectors are not orthogonal anymore, then any other two vectors that were orthogonal is the ##E## basis will not be orthogonal in the new basis...

From the standard basis ##E## with its rectangular grid, the green vector below has coordinates ##(3,1)##. Coordinates are "instructions" on how to stretch the basis vectors.
 

Attachments

  • 1712411138237.png
    1712411138237.png
    8.7 KB · Views: 114
  • 1712411189653.png
    1712411189653.png
    2.4 KB · Views: 143
  • 1712411244797.png
    1712411244797.png
    6.7 KB · Views: 116
  • 1712411481180.png
    1712411481180.png
    14.2 KB · Views: 97
  • 1712412467853.png
    1712412467853.png
    26.4 KB · Views: 108
  • 1712412668076.png
    1712412668076.png
    31.1 KB · Views: 108
  • 1712412800103.png
    1712412800103.png
    30.7 KB · Views: 91
  • 1712413020779.png
    1712413020779.png
    17.7 KB · Views: 116
Last edited:
Physics news on Phys.org
Yes, everything you've written is correct. In fact there is some math that has been created to handle this better.

An inner product ##<x,y>## on a vector space has all the properties that the dot product is supposed to have: ##<x,y>=<y,x>##, ##<ax+by,z>=a<x,z>+b<y,z>##, ##<x,x> > 0 ## if x is not zero, and ##<0,0>=0##.

Notice my notation is a bit crappy, as I've written 0 to mean both a vector and a number in that last equation.

Technically I need to specify this is over the real numbers, and the complex number version looks a little different.

Over 2D, or 3D, or any finite dimensional space really, it turns out every inner product is equivalent to computing the dot product in a certain basis
 
  • Like
Likes   Reactions: fog37
Office_Shredder said:
Yes, everything you've written is correct. In fact there is some math that has been created to handle this better.

An inner product ##<x,y>## on a vector space has all the properties that the dot product is supposed to have: ##<x,y>=<y,x>##, ##<ax+by,z>=a<x,z>+b<y,z>##, ##<x,x> > 0 ## if x is not zero, and ##<0,0>=0##.

Notice my notation is a bit crappy, as I've written 0 to mean both a vector and a number in that last equation.

Technically I need to specify this is over the real numbers, and the complex number version looks a little different.

Over 2D, or 3D, or any finite dimensional space really, it turns out every inner product is equivalent to computing the dot product in a certain basis
Thank you!
So you confirm that the dot product between two vectors depends on which basis we are using to represent them?
 
fog37 said:
Thank you!
So you confirm that the dot product between two vectors depends on which basis we are using to represent them?

If your definition of the dot product is the sum of the products of the coordinates, then you have to specify which basis you compute the coordinates under.

So there are many possible choices of "dot product,", one for each choice of basis.
 
fog37 said:
Thank you!
So you confirm that the dot product between two vectors depends on which basis we are using to represent them?
Not sure I understand what you're asking . Clearly, if vectors v,w ,have different representation ##\{(a,b),(c,d)\}## and ##\{(a',b'), (c',d')\}## in bases ##B, B'## respectively, the expressions ##ab+cd ; a'b'+ c'd' ## , will Edit: most likely be different.
 
  • Like
Likes   Reactions: Gavran and fog37
WWGD said:
Not sure I understand what you're asking . Clearly, if vectors v,w ,have different representation ##\{(a,b),(c,d)\}## and ##\{(a',b'), (c',d')\}## in bases ##B, B'## respectively, the expressions ##ab+cd ; a'b'+ c'd' ## , will be different.
Yes, I was under the wrong impression that the dot product, regardless of the coordinates of the vectors changing under different bases, would remain invariant...but I guess not...

Interesting (to me) that two vectors that are orthogonal in one basis are not orthogonal in a different basis.
And also that the set of basis vectors are always orthogonal in their own basis since their coordinates are ##(1,0)## and ##(0,1)##...
 
fog37 said:
Yes, I was under the wrong impression that the dot product, regardless of the coordinates of the vectors changing under different bases, would remain invariant...but I guess not...
Don't abandon that impression!
The scalar (dot) product ##s## of two vectors ##\mathbf{a},\mathbf{b}## in a Euclidean space of dimension ##D## is ##s=\left|\mathbf{a}\right|\left|\mathbf{b}\right|\cos\theta##, where
##\theta## is the angle between the vectors. This is true for any choice of coordinates. But the component relation ##s=\sum_{i=1}^{D}a_{i}b_{i}## holds only for components referenced to orthogonal coordinates. That formula must be generalized for non-orthogonal coordinates. See https://en.wikipedia.org/wiki/Skew_coordinates.
 
  • Like
Likes   Reactions: fog37
renormalize said:
Don't abandon that impression!
The scalar (dot) product ##s## of two vectors ##\mathbf{a},\mathbf{b}## in a Euclidean space of dimension ##D## is ##s=\left|\mathbf{a}\right|\left|\mathbf{b}\right|\cos\theta##, where
##\theta## is the angle between the vectors. This is true for any choice of coordinates. But the component relation ##s=\sum_{i=1}^{D}a_{i}b_{i}## holds only for components referenced to orthogonal coordinates. That formula must be generalized for non-orthogonal coordinates. See https://en.wikipedia.org/wiki/Skew_coordinates.
Ha! Thank you. I checked the wikipedia page out but it is a little too sophisticated for me....Would you be able to provide some intuition?

So the dot product of any two vectors does not change if we change basis. But if the vectors are orthogonal in one basis and not orthogonal in another basis, should we still believe that dot product =0 means, geometrically, that the vectors are perpendicular?
 
fog37 said:
Ha! Thank you. I checked the wikipedia page out but it is a little too sophisticated for me....Would you be able to provide some intuition?

So the dot product of any two vectors does not change if we change basis. But if the vectors are orthogonal in one basis and not orthogonal in another basis, should we still believe that dot product =0 means, geometrically, that the vectors are perpendicular?

This is what I was referring to earlier - you keep saying *the* dot product, and this is ambiguous.

If you want a function that takes a pair of vector and outputs a number, that function cannot depend on the coordinate system you happen to pick. In particular when you say the function changes when you change basis, it means you just haven't defined the function correctly. Coordinates are s way of describing a vector, but a vector can exist independent of your coordinate system

On the other hand, for each choice of basis there is *a* dot product for that basis defined in the usual way (summing products of entries). And you can declare vectors to be orthogonal with respect to this basis/dot product, and simply not worry about whether other bases/dot products would also think those vectors are orthogonal
 
  • #10
fog37 said:
So the dot product of any two vectors does not change if we change basis. But if the vectors are orthogonal in one basis and not orthogonal in another basis, should we still believe that dot product =0 means, geometrically, that the vectors are perpendicular?
Two Euclidean vectors are orthogonal if and only if their dot product vanishes; i.e., the angle between them is ##\pi /2##. There is a natural formula for the dot product ##s## in any coordinate system, as written in terms of vector components, that will always give zero for two vectors that are orthogonal in the sense of the first sentence. And only in orthogonal cartesian coordinates does that natural formula take the simple form ##s=\sum_{i=1}^{D}a_{i}b_{i}##. The natural formula is more complicated in a general coordinate system, including cartesian systems with non-orthogonal axes or curvilinear systems like spherical coordinates.
 
  • Like
Likes   Reactions: fog37

Similar threads

  • · Replies 9 ·
Replies
9
Views
4K
  • · Replies 7 ·
Replies
7
Views
3K
  • · Replies 1 ·
Replies
1
Views
4K
  • · Replies 3 ·
Replies
3
Views
4K
  • · Replies 43 ·
2
Replies
43
Views
8K
  • · Replies 17 ·
Replies
17
Views
3K
  • · Replies 8 ·
Replies
8
Views
3K
  • · Replies 8 ·
Replies
8
Views
3K
  • · Replies 13 ·
Replies
13
Views
5K
  • · Replies 4 ·
Replies
4
Views
3K