Non uniformly distributed p-n junction related problem

Click For Summary

Discussion Overview

The discussion revolves around a problem related to non-uniformly distributed p-n junctions, specifically focusing on a diffused silicon p-n junction with a linearly graded junction on the p side. Participants are attempting to determine the total depletion width, built-in potential, and maximum electric field at zero bias, while addressing the challenges in solving the problem.

Discussion Character

  • Homework-related
  • Technical explanation
  • Exploratory

Main Points Raised

  • The original poster describes a p-n junction problem involving a linearly graded junction on the p side and uniform doping on the n side, seeking assistance in solving for various parameters.
  • Some participants inquire about the methods attempted by the original poster and whether the problem was sourced from a textbook, emphasizing the need for the slope of the gradient to solve the problem.
  • The original poster mentions that the gradient is given as the parameter 'a' and shares their attempts at solving the built-in potential, expressing uncertainty about their approach.
  • One participant critiques the original poster's images, indicating that while the third image appears to follow the correct approach, they have not verified the calculations or constants used.
  • There is a suggestion that the charge density should include a linear dependency and that integrating charge is necessary to derive the electric field and built-in potential.

Areas of Agreement / Disagreement

Participants do not reach a consensus on the correctness of the original poster's approach, and there is uncertainty regarding the calculations and methods used. Multiple viewpoints on how to proceed with the problem are expressed.

Contextual Notes

Participants note the importance of the gradient's slope and the potential need for additional mathematical steps to fully resolve the problem. Some assumptions regarding the integration and charge density modifications are mentioned but not fully explored.

THE HARLEQUIN
Messages
52
Reaction score
4
Hello guys, I stumbled upon this problem while studying non uniformly distributed pn junctions and finding difficulty solving this. Any help will be greatly appreciated.

A diffused silicon p-n junction has a linearly graded junction on the p side with a = 2 x10^19 cm-4, and a uniform doping of 10^15 cm-3 on the n side. If the depletion width on the p side is 0.7 micro meter at zero bias, find the total depletion width, built-in potential, and maximum electric field at zero bias.
 
Engineering news on Phys.org
This is a fairly standard homework question. What have you tried? Did you find this in a textbook? Was there a figure that gave the slope of the gradient? Usually to solve it one needs the slope of the gradient like in this question.
https://www.chegg.com/homework-help/questions-and-answers/3-15p--diffused-silicon-p-n-junction-linearly-graded-junction-p-side-na-ax-x-distance-10-1-q20562763
 
eq1 said:
This is a fairly standard homework question. What have you tried? Did you find this in a textbook? Was there a figure that gave the slope of the gradient? Usually to solve it one needs the slope of the gradient like in this question.
https://www.chegg.com/homework-help/questions-and-answers/3-15p--diffused-silicon-p-n-junction-linearly-graded-junction-p-side-na-ax-x-distance-10-1-q20562763

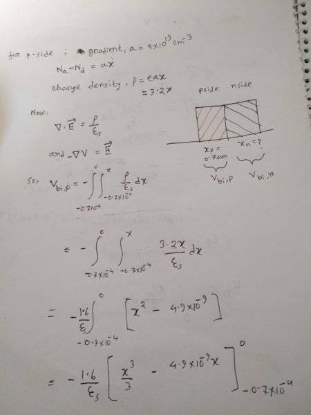
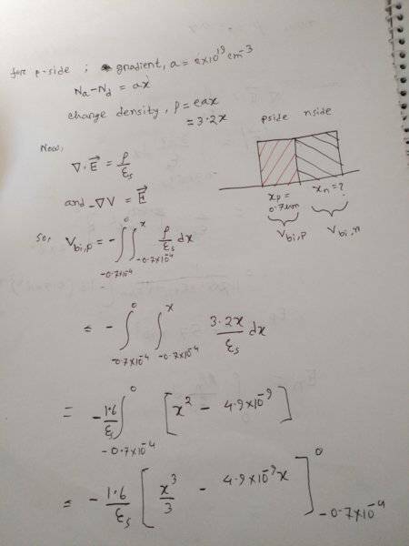
Thanks eq1 for your reply. I tried to solve the built in potential part, though not sure if it's the correct approach. The gradient is given in the question as the parameter 'a' . the problem is from Neamen's semiconductor physics and devices exercise. I attached the photos of my solution. Please share your valuable thoughts on this.
P80817-091600.jpg
P80817-091600.jpg
 

Attachments

  • P80817-091600.jpg
    P80817-091600.jpg
    14.8 KB · Views: 713
  • P80817-091554.jpg
    P80817-091554.jpg
    19.6 KB · Views: 480
I didn't understand the first two images, but the third looks like it has the correct approach; rho (charge density) is modified to include the ax term (it has a linear dependency and is not just a constant), then integrate charge to get the E-field and integrate that to get the built-in potential. I haven't checked the math or the constants you plugged in though. (The obvious thing is there needs to be an x^2 term in E-field which I saw, so I suspect it's ok)
 

Similar threads

Replies
3
Views
2K
  • · Replies 8 ·
Replies
8
Views
17K
  • · Replies 12 ·
Replies
12
Views
3K
  • · Replies 3 ·
Replies
3
Views
3K
  • · Replies 42 ·
2
Replies
42
Views
10K
Replies
1
Views
2K
  • · Replies 18 ·
Replies
18
Views
3K
  • · Replies 2 ·
Replies
2
Views
3K
Replies
6
Views
16K
  • · Replies 30 ·
2
Replies
30
Views
8K