Phase shift measurement using phase modulated signal

Click For Summary
SUMMARY

The discussion focuses on developing a phase shift sensor utilizing a phase modulated signal, specifically through the zero crossing method. The user seeks to determine timestamps of zero crossings to calculate phase shifts using a defined formula. A local phase-locked loop (PLL) is suggested as a common technique for achieving phase stability during modulation. The conversation emphasizes the importance of understanding PLLs in this context.

PREREQUISITES
  • Phase modulation techniques
  • Zero crossing detection methods
  • Phase-locked loop (PLL) fundamentals
  • Signal processing concepts
NEXT STEPS
  • Research phase modulation techniques in detail
  • Learn about zero crossing detection algorithms
  • Study the implementation of phase-locked loops (PLLs) in signal processing
  • Explore mathematical formulas for phase shift calculations
USEFUL FOR

Engineers and researchers in signal processing, electronics developers working on phase measurement systems, and anyone interested in phase modulation and PLL applications.

Quantum_mind
Hello everyone,

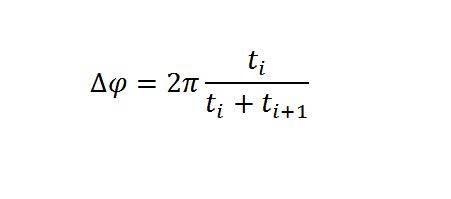
I'm actually working on developping a phase shift sensor using one phase modulated signal, i know that the title is confusing beaucause the phase shift measurement need two signals , I'm trying to do this with the zero crossing method so if I could found the timestamps of the zero crossing or the signal's trigger crossing i will be able to calculate the phase shift using the formula in the attached file,
ti is the period of the signal and ti+1 is the double period.
I need some theoritcal ressources about this or some advices about this problem.

Thank you in advantage.
 

Attachments

  • dphase.JPG
    dphase.JPG
    3.3 KB · Views: 554
Last edited by a moderator:
Engineering news on Phys.org
Welcome to the PF. :smile:

What frequency is your signal? What is the nature and depth of the phase modulation of the signal?

On way this is typically done is with a local phase-locked loop (PLL). You have a local oscillator that you lock to the average phase of the incoming signal, and once locked, you do not allow the phase of the PLL to vary during the short time span of the phase modulations of the incoming signal.

Are you familiar with PLLs and how to use them?
 

Similar threads

Replies
4
Views
2K
  • · Replies 78 ·
3
Replies
78
Views
6K
  • · Replies 27 ·
Replies
27
Views
3K
Replies
9
Views
2K
  • · Replies 41 ·
2
Replies
41
Views
8K
  • · Replies 4 ·
Replies
4
Views
1K
  • · Replies 5 ·
Replies
5
Views
3K
  • · Replies 26 ·
Replies
26
Views
4K
Replies
8
Views
2K
  • · Replies 10 ·
Replies
10
Views
6K