Problem getting my matrices in correct form

  • Thread starter Thread starter saybrook1
  • Start date Start date
  • Tags Tags
    Form Matrices
Click For Summary

Homework Help Overview

The discussion revolves around the challenge of organizing equations of motion into a suitable matrix form, potentially for diagonalization. The original poster expresses uncertainty about how to achieve the matrix representation seen in their reference material, particularly when dealing with multiple equations of motion.

Discussion Character

  • Exploratory, Assumption checking, Problem interpretation

Approaches and Questions Raised

  • Participants discuss the nature of the matrix form, noting that it is tridiagonal rather than diagonal, and question the implications of nearest neighbor coupling. There is also exploration of the Ansatz used for harmonic motion and how it relates to the matrix form.

Discussion Status

Some participants have provided insights into the structure of the matrix and the role of the Ansatz in transforming the problem into an eigenproblem. However, there remains a lack of consensus on the exact steps to take, with various interpretations and approaches being explored.

Contextual Notes

Participants mention the need for a consistent method to diagonalize matrices and express confusion over specific substitutions and their implications in the context of the equations of motion. There are references to homework constraints and the complexity of the general solution, which includes additional terms beyond the simple exponential form.

saybrook1
Messages
101
Reaction score
4

Homework Statement


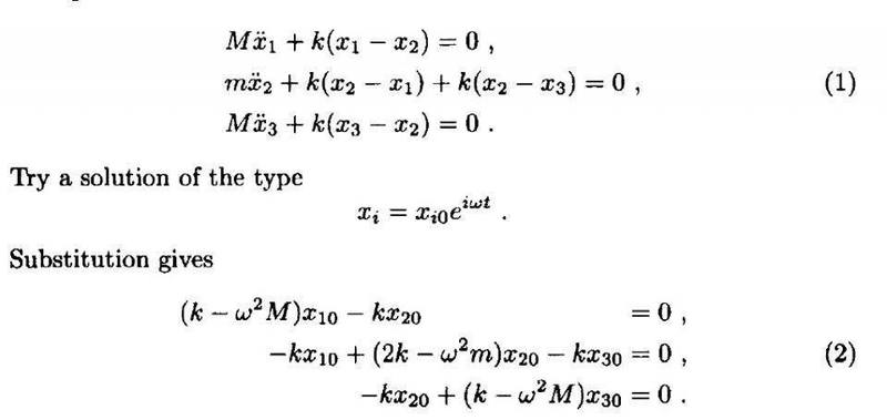
Hello guys; I am currently dealing with a problem that I have faced before several times and I would like to know a consistent way on how to solve it. I think what I want to do is diagonalize a matrix but I'm not sure if that's exactly it. Basically I have two or three equations of motion and I want to put them in a good matrix form in order to begin finding solutions. In this particular problem I have three equations of motion and the book I'm using puts them into a nice matrix form right away and I'm not sure how to get there. Here is a picture of what they've done:
Classical Mechanics Matrix.jpg

I know how to create these matrices for 'm' and 'k' when they are more symmetric if you will but I don't know how to make it nice like this. This will help me so much on other problems I also have to deal with. For some stupid reason I've ran into this wall multiple times. Thanks in advance.

Homework Equations


3 equations of motion put into a nice diagonalized matrix

The Attempt at a Solution


I just don't understand how to get it into this nice 'diagonalized(?)' matrix form. If anyone can help out, this will greatly help me in the future.
 
Last edited by a moderator:
Physics news on Phys.org
I'm not sure I understand what you want. The form you get there, which is not diagonal by the way, by tridiagonal, is due to the fact that there is only nearest neighbor coupling. If there was an additional spring between 1 and 3, the matrix would look different.

Note also that the result is due to the Ansatz that motion is harmonic, as given by the intermediate equation. This is what transforms the problem into an eigenproblem, with ω2 the eigenvalue.
 
DrClaude said:
I'm not sure I understand what you want. The form you get there, which is not diagonal by the way, by tridiagonal, is due to the fact that there is only nearest neighbor coupling. If there was an additional spring between 1 and 3, the matrix would look different.

Note also that the result is due to the Ansatz that motion is harmonic, as given by the intermediate equation. This is what transforms the problem into an eigenproblem, with ω2 the eigenvalue.
Okay, thank you for your response. I guess I'm just not sure exactly how to use the Ansatz and arrive at this matrix form. It says "substitution gives"... Not sure what substitution they are making,
 
saybrook1 said:

Homework Statement


Hello guys; I am currently dealing with a problem that I have faced before several times and I would like to know a consistent way on how to solve it. I think what I want to do is diagonalize a matrix but I'm not sure if that's exactly it. Basically I have two or three equations of motion and I want to put them in a good matrix form in order to begin finding solutions. In this particular problem I have three equations of motion and the book I'm using puts them into a nice matrix form right away and I'm not sure how to get there. Here is a picture of what they've done:
View attachment 92936
I know how to create these matrices for 'm' and 'k' when they are more symmetric if you will but I don't know how to make it nice like this. This will help me so much on other problems I also have to deal with. For some stupid reason I've ran into this wall multiple times. Thanks in advance.

Homework Equations


3 equations of motion put into a nice diagonalized matrix

The Attempt at a Solution


I just don't understand how to get it into this nice 'diagonalized(?)' matrix form. If anyone can help out, this will greatly help me in the future.
It's just a matter of organizing and re-arranging the unknowns, x10, etc., after making the substitution of the trial solution into the equations in (1).
 
SteamKing said:
It's just a matter of organizing and re-arranging the unknowns, x10, etc., after making the substitution of the trial solution into the equations in (1).
Okay, thanks, I'll give it a shot.
 
SteamKing said:
It's just a matter of organizing and re-arranging the unknowns, x10, etc., after making the substitution of the trial solution into the equations in (1).
It's tough because after I substitute in the Ansatz, I still don't know where the [itex](k-\omega^2M)[/itex] comes from or why it's only associated with the [itex]\ddot{x}[/itex] terms. Any hints as to how that works would be excellent. Also, if someone happens to know a situation where you need to diagonalize a matrix or simultaneous diagonalize two matrices and could point me in the direction of an example of such a situation that would be really great. Thanks
 
saybrook1 said:
It's tough because after I substitute in the Ansatz, I still don't know where the [itex](k-\omega^2M)[/itex] comes from or why it's only associated with the [itex]\ddot{x}[/itex] terms. Any hints as to how that works would be excellent. Thanks.
Well, take the first equation in (1), namely ##M\ddot{x_1} + k(x_1 - x_2) = 0## and make the substitution ##x_i = x_{i0} e^{i\omega t}##. Note that the i-subscript is not the same as i in the exponential function, which is the imaginary unit.
 
SteamKing said:
Well, take the first equation in (1), namely ##M\ddot{x_1} + k(x_1 - x_2) = 0## and make the substitution ##x_i = x_{i0} e^{i\omega t}##. Note that the i-subscript is not the same as i in the exponential function, which is the imaginary unit.
Right, I did that and I end up with [itex]M(\ddot{x_{10}}e^{i\omega t})+k(x_{10}e^{i\omega t}-x_{20}e^{i\omega t}) = 0[/itex]. Not sure where to go after that.
 
Ended up figuring this out by creating a matrix for M and K and X all separately and then combining them. Still not exactly sure how to get there with the Ansatz but I appreciate the help you guys gave me. Thanks
 
  • #10
saybrook1 said:
Right, I did that and I end up with [itex]M(\ddot{x_{10}}e^{i\omega t})+k(x_{10}e^{i\omega t}-x_{20}e^{i\omega t}) = 0[/itex]. Not sure where to go after that.
That's not correct. Remember that ##\ddot{x}## means ##\frac{d^2x}{dt^2}##, so when you do the substitution:
$$
\begin{align*}
M \ddot{x_{1}} &= M \frac{d^2x}{dt^2} \\
&= M \frac{d^2}{dt^2} ( x_{10}e^{i\omega t} ) \\
&= -M \omega^2 x_{10} \mathbf{e^{i\omega t}}
\end{align*}
$$
(##x_{10}## is independent of time; the entire time dependence of ##x_{1}## is in the exponential)

Edit: missing exponential in bold added.
 
Last edited:
  • #11
DrClaude said:
That's not correct. Remember that ##\ddot{x}## means ##\frac{d^2x}{dt^2}##, so when you do the substitution:
$$
\begin{align*}
M \ddot{x_{1}} &= M \frac{d^2x}{dt^2} \\
&= M \frac{d^2}{dt^2} ( x_{10}e^{i\omega t} ) \\
&= -M \omega^2 x_{10}
\end{align*}
$$
(##x_{10}## is independent of time; the entire time dependence of ##x_{1}## is in the exponential)

That's great, thank you! why do we drop the exponential at the end though?
 
  • #12
saybrook1 said:

Homework Statement


Hello guys; I am currently dealing with a problem that I have faced before several times and I would like to know a consistent way on how to solve it. I think what I want to do is diagonalize a matrix but I'm not sure if that's exactly it. Basically I have two or three equations of motion and I want to put them in a good matrix form in order to begin finding solutions. In this particular problem I have three equations of motion and the book I'm using puts them into a nice matrix form right away and I'm not sure how to get there. Here is a picture of what they've done:
View attachment 92936
I know how to create these matrices for 'm' and 'k' when they are more symmetric if you will but I don't know how to make it nice like this. This will help me so much on other problems I also have to deal with. For some stupid reason I've ran into this wall multiple times. Thanks in advance.

Homework Equations


3 equations of motion put into a nice diagonalized matrix

The Attempt at a Solution


I just don't understand how to get it into this nice 'diagonalized(?)' matrix form. If anyone can help out, this will greatly help me in the future.

The general solution does not have quite as simple a form as you suggest: besides ##x_k = x_{k0} \, e^{i \omega t}## terms there are also terms of the form ##x_1 = x_2 = x_3 = a + b t##. This is due in part to the fact that when written as a ##6 \times 6## linear first-order system we get a ##6 \times 6## matrix that is not quite diagonalizable: one of its Jordan blocks is non-diagonal. I can tell you more if you are interested.
 
  • #13
saybrook1 said:
That's great, thank you! why do we drop the exponential at the end though?
It is still there, I just forgot to add it. Eventually, you multiply everything by ##e^{-i \omega t}##, so it goes away.
 
  • #14
DrClaude said:
It is still there, I just forgot to add it. Eventually, you multiply everything by ##e^{-i \omega t}##, so it goes away.
Gotchya okay, thanks a bunch for the help.
 

Similar threads

  • · Replies 16 ·
Replies
16
Views
4K
  • · Replies 19 ·
Replies
19
Views
4K
Replies
1
Views
2K
  • · Replies 4 ·
Replies
4
Views
2K
  • · Replies 1 ·
Replies
1
Views
2K
Replies
2
Views
3K
  • · Replies 4 ·
Replies
4
Views
2K
  • · Replies 3 ·
Replies
3
Views
4K
  • · Replies 2 ·
Replies
2
Views
3K