Prove using Boolean algebra that two expressions are equivalent

Click For Summary

Discussion Overview

The discussion revolves around proving the equivalence of two Boolean expressions using Boolean algebra. Participants explore various methods, including simplification and conversion between minimal forms, while addressing potential errors and uncertainties in their approaches.

Discussion Character

  • Exploratory
  • Technical explanation
  • Debate/contested
  • Mathematical reasoning

Main Points Raised

  • One participant questions their approach and considers whether expanding their last statement is necessary, expressing concern about the workload involved.
  • Another participant suggests focusing on converting between two minimal forms using Boolean axioms rather than canonical forms, claiming a shorter method exists.
  • There is a correction regarding an error in the left-hand side of a statement, indicating that there should be no prime over F.
  • A participant expresses uncertainty about the correctness of their original minimal expressions after attempting to follow suggestions, leading to an extra term in their result.
  • Participants discuss the simplification of the expression A'CD + A'D, with one asserting that it simplifies to A'D.
  • There is a query about the possibility of converting from minimal SOP to minimal POS, with one participant stating it is generally more difficult.
  • Another participant confirms that conversion between canonical forms is always possible, though they did not analyze the specific direction taken by the original poster.

Areas of Agreement / Disagreement

Participants express differing views on the best approach to proving the equivalence of the expressions, with no consensus on the correctness of the original minimal expressions or the methods proposed. The discussion remains unresolved regarding the optimal path to take.

Contextual Notes

Participants note potential errors in expressions and the complexity of converting between different forms, indicating that assumptions about the minimal expressions may not be universally accepted.

rugerts
Messages
153
Reaction score
11
Homework Statement
Obtain minimal product of sums expression for F. Using Boolean Algebra, show that the product of sums expression is equivalent to the sum of products expression. Ignore timing hazards.
Relevant Equations
Boolean algebra and DeMorgan's Laws.
1570929227333.png
Can anyone tell me if I'm doing this right so far? My question really is... does this mean that the next step for me is to expand the last statement shown?Asking because that seems like a lot of work.
 
Physics news on Phys.org
The way you are going is unnecessarily long, and I don't know whether it can lead to an answer. Forget the canonical forms, which the problem does not ask you to use. Instead focus on the two minimal forms, and try and convert one into the other, using only the Boolean axioms. For me this took nine short lines, starting with the SOP.

Also, note that the LHS of the above statement of the minimal POS contains an error. There should be no prime over the F. The LHS is F(A,B,C,D), the same as for the minimal SOP.
 
andrewkirk said:
The way you are going is unnecessarily long, and I don't know whether it can lead to an answer. Forget the canonical forms, which the problem does not ask you to use. Instead focus on the two minimal forms, and try and convert one into the other, using only the Boolean axioms. For me this took nine short lines, starting with the SOP.

Also, note that the LHS of the above statement of the minimal POS contains an error. There should be no prime over the F. The LHS is F(A,B,C,D), the same as for the minimal SOP.
THanks for the reply!
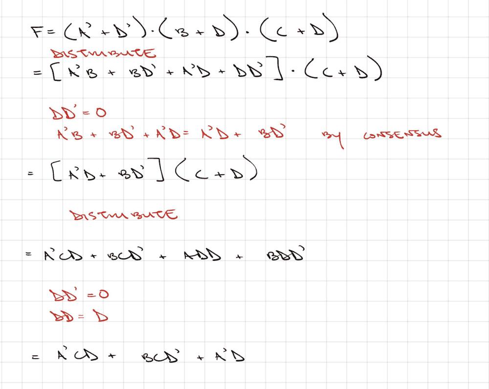
I've tried again following your suggestions and I came close to an answer but it's not quite the same expression... there's an extra term. I'm wondering if it may be that my original minimal expressions are incorrect? Could you please take a look at my work below?
1570940293333.png
Is there maybe some kind of 4 variable consensus going on for my last line?
 
Consider the first and last terms.
Can you simplify A'CD + A'D using the Boolean axioms?
 
andrewkirk said:
Consider the first and last terms.
Can you simplify A'CD + A'D using the Boolean axioms?
Does this simplify to: A'D * [ C + 1 ] = A'D? Since C+1 = 1. If so, I have the expression now and it looks like I've shown I can go from minimal P.O.S. to minimal S.O.P.

Is it also true I can go the other way (i.e. minimal SOP to minimal POS)? I originally tried doing this but it seemed to be more difficult.

Also, you said in the original post that you're not sure if it's possible to convert between the canonical forms... why would that be so? For me, it seems like that should be possible.

Thanks.
 
rugerts said:
Does this simplify to: A'D * [ C + 1 ] = A'D? Since C+1 = 1.
Yes, that's right.
rugerts said:
Is it also true I can go the other way (i.e. minimal SOP to minimal POS)? I originally tried doing this but it seemed to be more difficult.
Yes, the reverse conversion is always possible. You may even be able to do it just by reversing the order of the steps in your proof for the first direction. Whether you can do it that way depends on which rules you used for the first direction. But that's the thing I'd try first.
rugerts said:
Also, you said in the original post that you're not sure if it's possible to convert between the canonical forms... why would that be so?
It will always be possible to convert between them, because they are equivalent. I just didn't examine the direction you headed above in trying to do so, to work out whether it was likely to succeed.
 
  • Like
Likes   Reactions: rugerts

Similar threads

Replies
15
Views
4K
  • · Replies 5 ·
Replies
5
Views
2K
Replies
9
Views
2K
Replies
4
Views
6K
  • · Replies 4 ·
Replies
4
Views
5K
Replies
6
Views
2K
Replies
7
Views
2K
  • · Replies 1 ·
Replies
1
Views
5K
Replies
7
Views
2K
  • · Replies 1 ·
Replies
1
Views
2K