Putting rotating cylinder on the ground

Click For Summary

Homework Help Overview

The problem involves a rotating cylinder with an unknown mass and a specified radius, which is placed on horizontal ground. The discussion centers around determining the time it takes for the cylinder to roll without slipping, given a coefficient of friction.

Discussion Character

  • Exploratory, Assumption checking

Approaches and Questions Raised

  • Participants discuss the relationship between angular velocity and the frequency provided, with some questioning the interpretation of the given frequency as angular rather than standard frequency.

Discussion Status

There appears to be a productive dialogue regarding the interpretation of the frequency and its implications for the problem. Some participants express confidence in the calculations, while others seek clarification on the initial problem statement.

Contextual Notes

Participants note potential confusion regarding the distinction between angular frequency and standard frequency, which may affect the understanding of the problem setup.

srecko97
Messages
82
Reaction score
13

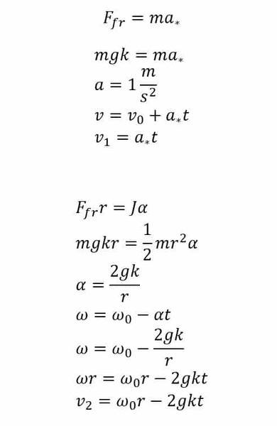
Homework Statement


We put a cyllinder with unknown mass and radius 0.1m which rotates with angular velocity 10 /s around its geometric axis on the horizontal ground. After what time does the cyllinder roll without slipping? Coefficient of friction is 0.1.

Homework Equations


F=ma
M=J ⋅ ∝

The Attempt at a Solution


J- moment of inertia, k-coefficient of friction ... a* - acceleration of center of mass[/B]
image.jpg


image.jpg

The result should be 2.09 s. Please correct me!
 
Physics news on Phys.org
Are you sure you've stated the problem correctly? Your answer looks right to me.
 
  • Like
Likes   Reactions: srecko97
I have just realized that everything is OK except the value for angular frequency. The given frequency is not the angular (which I thought) but the usual frequency (number of turns per second)
 
srecko97 said:
I have just realized that everything is OK except the value for angular frequency. The given frequency is not the angular (which I thought) but the usual frequency (number of turns per second)

Of course!
 
  • Like
Likes   Reactions: srecko97

Similar threads

  • · Replies 1 ·
Replies
1
Views
3K
  • · Replies 16 ·
Replies
16
Views
3K
Replies
39
Views
4K
Replies
12
Views
3K
  • · Replies 60 ·
3
Replies
60
Views
5K
Replies
5
Views
2K
  • · Replies 11 ·
Replies
11
Views
3K
  • · Replies 97 ·
4
Replies
97
Views
7K
  • · Replies 32 ·
2
Replies
32
Views
4K
  • · Replies 5 ·
Replies
5
Views
2K