Question about Jet engines (thermodynamics)

Click For Summary

Discussion Overview

The discussion revolves around the thermodynamics of jet engines, specifically focusing on the application of various equations related to efficiency and temperature relationships in the context of a school project. Participants seek clarification on how to manipulate and substitute equations to derive a final formula.

Discussion Character

  • Homework-related
  • Mathematical reasoning
  • Technical explanation

Main Points Raised

  • Maximilian seeks help with substituting equations (5.1), (5.2), (5.5), and (5.6) to arrive at a final formula.
  • One participant suggests replacing variables in equation (5.7) with those from (5.5) and (5.6) and simplifying further using (5.1) and (5.2).
  • Another participant points out a mistake in the numerator and advises to focus on getting the term "1" from the efficiency equation.
  • There are multiple instances where participants express confusion about the steps and request further clarification.
  • Some participants identify mistakes in earlier calculations, such as incorrect substitutions or signs in equations.
  • One participant provides a detailed equation involving temperature and pressure ratios, indicating a specific relationship that needs to be established.
  • Several participants express gratitude for assistance and indicate progress, while others continue to struggle with specific steps.
  • There is a discussion about the correct form of equation (5.4) and its implications for the calculations being performed.

Areas of Agreement / Disagreement

Participants do not reach a consensus on the correct steps or interpretations, as there are ongoing corrections and discussions about mistakes in calculations. Multiple competing views on how to approach the problem remain evident throughout the thread.

Contextual Notes

Participants express uncertainty regarding specific mathematical steps and the implications of their substitutions. There are unresolved issues related to the correct application of equations and the handling of signs in the formulas.

Maximilian Popelier
Messages
31
Reaction score
3
Hi, I need help
I got a project for school about jet engines. They say bysubstitution of equations 5.1, 5.2, 5.5 and 5.6
butI don't know the steps how i get t0 the last formule.
jet engine.png

Thank you
Maximilian Popelier
 
Science news on Phys.org
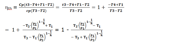
Take eq. (5.7) and replace ##w_a## and ##q_a## by the right-hand side of (5.5) and (5.6), and then further simplify using (5.1) and (5.2).
 
Tank you very much i will try it tomorrow
 
hi thank you..
but now I'm stuck here...
fysica.PNG
 
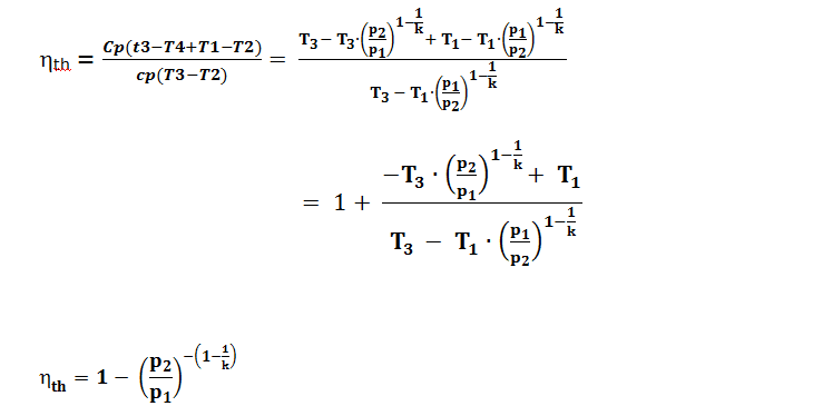
You made a mistake in the numerator. After having corrected that mistake, before you use equations (5.1) and (5.2), notice that η is 1 - something, so try to get that 1.
 
Im sorry I tried it but I am again stuck at the next step...
 
Maximilian Popelier said:
Im sorry I tried it but I am again stuck at the next step...
Please show your work.
 
My whole Project or just the formule?
Here is the formule:
fysica.PNG
 

Attachments

  • furmule gip.PNG
    furmule gip.PNG
    4.7 KB · Views: 486
You made a mistake in the last equality
$$
1 + \frac{-a}{b} = 1 - \frac{a}{b}
$$
$$
1 + \frac{-a}{b} \neq 1 - \frac{a}{-b}
$$
 
  • Like
Likes   Reactions: Maximilian Popelier
  • #10
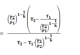
owww... sorry but I am still stuck
fysicca.PNG
 

Attachments

  • fysica.PNG
    fysica.PNG
    3.2 KB · Views: 467
  • #11
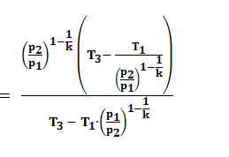
You can now take out a factor in front of the fraction.
 
  • #12
How if i do it i have do divise the T1 by the Factor
 
  • Like
Likes   Reactions: The Bill
  • #13
ficica.PNG

i forgot the 1 -
 
  • #14
Take a factor out of the numerator only.
 
  • #15
oke and then?
 
  • #16
Maximilian Popelier said:
oke and then?
Then you should get eq. (5.8). You can write what you got in post #13 such that you get the same term in ##T_1## and ##T_3## in the numerator and the denominator.
 
  • Like
Likes   Reactions: Maximilian Popelier
  • #17
sorry i don't get it but i got this
Capture.PNG
 
  • #18
Maximilian Popelier said:
sorry i don't get it but i got thisView attachment 109348
Compare what is in the parenthesis with the denominator.

I now see you also made a mistake when changing ##T_4## to ##T_3## in the numerator.
 
  • #19
Nice i got it!
Ty very much
 
  • #20
Oh i didn't get it i got a "-" wrong i will take a picture
 
  • #21
15175353_1333275043389239_2586692_n.jpg
 
  • #22
$$T_4 = T_3 \left( \frac{p_2}{p_1} \right)^{-\left(1 - \frac{1}{k} \right)}$$ so you should get the right factor in front.
 
  • #23
Can you please write it all out and take a picture. It will save us a lot of time
 
  • #24
$$
\begin{align*}
\eta_{\mathrm{th}} &= 1 - \frac{T_4 - T_1}{T_3 - T_2} \\
&= 1 - \frac{T_3 \left( \frac{p_2}{p_1} \right)^{-\left(1 - \frac{1}{k} \right)} - T_1}{T_3 - T_1 \left( \frac{p_2}{p_1} \right)^{\left(1 - \frac{1}{k} \right)}} \\
&= 1 - \left( \frac{p_2}{p_1} \right)^{-\left(1 - \frac{1}{k} \right)} \frac{T_3 - T_1 \left( \frac{p_2}{p_1} \right)^{\left(1 - \frac{1}{k} \right)}}{T_3 - T_1 \left( \frac{p_2}{p_1} \right)^{\left(1 - \frac{1}{k} \right)}}
\end{align*}
$$
 
  • Like
Likes   Reactions: Hoophy and Maximilian Popelier
  • #25
Ty man
 
  • #26
Oh but you made a mistake i guess
Im not 100% sure
 
  • #27
Maximilian Popelier said:
Oh but you made a mistake i guess
Why? I get the same equation as in the book.
 
  • #28
received_1190415964378216.jpeg
 
  • #29
Got it ty
 
  • #30
Hi it isn't very clear for me sorry you hen you replace t4 u use a extra "-" before (1-1/k)
Sorry that i don't get it
 

Similar threads

  • · Replies 3 ·
Replies
3
Views
3K
Replies
4
Views
2K
  • · Replies 2 ·
Replies
2
Views
3K
  • · Replies 3 ·
Replies
3
Views
2K
Replies
12
Views
3K
  • · Replies 4 ·
Replies
4
Views
2K
  • · Replies 10 ·
Replies
10
Views
2K
  • · Replies 6 ·
Replies
6
Views
2K
Replies
2
Views
3K
  • · Replies 2 ·
Replies
2
Views
3K