Show the limit exists or does not exist

  • Thread starter Thread starter vantz
  • Start date Start date
  • Tags Tags
    Limit
Click For Summary
SUMMARY

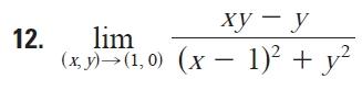
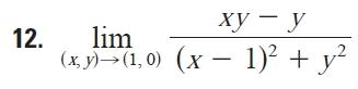
The limit of the function \(\frac{xy}{x^2+y^2}\) as \((x,y) \to (0,0)\) does not exist. Multiple approaches, including substituting \(x=1\) and \(y=0\) or letting \(y=x\), consistently yield a limit of 0. However, when analyzing the limit by factoring the numerator to \(y(x-1)\) and substituting \(t = x-1\), the limit approaches both 1/2 and 0, confirming the non-existence of the limit. This demonstrates the importance of examining limits from various paths in multivariable calculus.

PREREQUISITES
  • Understanding of multivariable limits
  • Familiarity with limit notation and evaluation techniques
  • Knowledge of factorization in calculus
  • Experience with substitution methods in limits
NEXT STEPS
  • Study the concept of limits in multivariable calculus
  • Learn about path-dependent limits and their implications
  • Explore the epsilon-delta definition of limits
  • Investigate the use of polar coordinates in evaluating limits
USEFUL FOR

Students in calculus courses, particularly those studying multivariable calculus, as well as educators and tutors looking to deepen their understanding of limit behavior in multiple dimensions.

vantz
Messages
13
Reaction score
0

Homework Statement


c2f1f923-74de-46af-bb68-3ccd4efeb33a.jpe


The Attempt at a Solution


it does not exist, but i can't get different limits, I am only getting it approaches 0

i replaced x=1 only, y=0 only, y=x, x=y but I'm only getting 0 as my limit.

thanks
 
Last edited:
Physics news on Phys.org
this is a trick. notice it is equivalent to finding the limit of [xy]/(x^2+y^2) as (x,y)-->(0,0).

this one is very familiar, and is done by letting x=y.
 
im still approaching 0 when x=y
 
vantz said:
im still approaching 0 when x=y

You shouldn't be. Replacing y with x:

[tex]\lim_{(x,y) \to (0,0)} \frac{x*x}{x^2+x^2} = ...[/tex]
 
oh so first i rewrite the limit into a more familiar one and then solve. but i don't see how they are related.

edit:nvm i got it.
 
Last edited:
vantz said:

Homework Statement


c2f1f923-74de-46af-bb68-3ccd4efeb33a.jpe


The Attempt at a Solution


it does not exist, but i can't get different limits, I am only getting it approaches 0

i replaced x=1 only, y=0 only, y=x, x=y but I'm only getting 0 as my limit.

thanks
Yes, if you let x=1, and take the limit of the result as y→0, the limit is zero.

Similarly, letting y=0 and taking the limit of the result as x→1, also gives zero.

Use these results along with the limit obtained as others have suggested. What's your final conclusion?
 
SammyS said:
Yes, if you let x=1, and take the limit of the result as y→0, the limit is zero.

Similarly, letting y=0 and taking the limit of the result as x→1, also gives zero.

Use these results along with the limit obtained as others have suggested. What's your final conclusion?

i showed the relation between the original limit and [xy]/(x^2+y^2) as (x,y)-->(0,0).
numerator factorizes to y(x-1), then i replaced (x-1) with t, and as x→1, t→0. new limit does not exist because it approaches 1/2 and 0.
 
Correct !
 

Similar threads

  • · Replies 10 ·
Replies
10
Views
2K
  • · Replies 5 ·
Replies
5
Views
2K
  • · Replies 4 ·
Replies
4
Views
2K
Replies
24
Views
3K
  • · Replies 9 ·
Replies
9
Views
2K
  • · Replies 8 ·
Replies
8
Views
2K
Replies
5
Views
3K
  • · Replies 1 ·
Replies
1
Views
2K
  • · Replies 4 ·
Replies
4
Views
2K
  • · Replies 8 ·
Replies
8
Views
2K