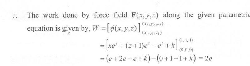
Simplifying the Work Done Equation: x(e^y) + (z+1)(e^z) - (e^z) + k

  • Thread starter Thread starter chetzread
  • Start date Start date
  • Tags Tags
    Work Work done
Click For Summary

Homework Help Overview

The discussion revolves around simplifying an equation related to work done, specifically the expression x(e^y) + (z+1)(e^z) - (e^z) + k. Participants are questioning the validity of combining terms in the equation and exploring the implications of the author's formulation.

Discussion Character

  • Conceptual clarification, Assumption checking

Approaches and Questions Raised

  • Some participants attempt to clarify whether the terms in the equation can be combined, particularly focusing on the repeated term x(e^y). Others question the author's reasoning for not combining these terms and suggest alternative methods of solving the problem.

Discussion Status

The discussion is active, with participants expressing differing views on how to approach the problem. Some guidance has been offered regarding the treatment of common terms in the equation, but no consensus has been reached on the best method to simplify the expression.

Contextual Notes

Participants are navigating the constraints of the problem, including the implications of the author's original equation and the assumptions made in their attempts to simplify it. There is a mention of expressing variables in terms of t, indicating a potential alternative approach under consideration.

chetzread
Messages
798
Reaction score
1

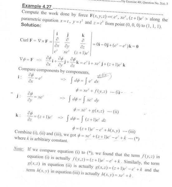
Homework Statement


for the work done θ , after combining all three , the work done should be = 2x(e^y) + (z+1)(e^z) - (e^z) + k , am i right ?
why the author stated it is x(e^y) + (z+1)(e^z) - (e^z) + k ?
There's x(e^y) in equation (i) and (ii)

Homework Equations

The Attempt at a Solution


θ= (x)(e^y) + f(y,z) + (x)(e^y) + g(x,z) + (z+1)(e^z) - (e^z) + h(x,y )
= 2(x)(e^y) + (z+1)(e^z) - (e^z) + k
 

Attachments

  • 12.jpg
    12.jpg
    33.2 KB · Views: 418
  • 13.jpg
    13.jpg
    12.6 KB · Views: 391
Physics news on Phys.org
chetzread said:
the work done should be = 2x(e^y) + (z+1)(e^z) - (e^z) + k , am i right ?
why the author stated it is x(e^y) + (z+1)(e^z) - (e^z) + k ?
There's x(e^y) in equation (i) and (ii)
No, the author is right. You shouldn't simply add the RHS of the equations. The expressions which are common don't need to be added. In your example, if you had ##2xe^y## ( like you thought), you wouldn't get ## \frac {\partial \phi}{\partial x} = e^y## and ## \frac {\partial \phi}{\partial y}= xe^y##
 
  • Like
Likes   Reactions: chetzread
I would never have solved it this way. I would have expressed everything in terms of t.
 
Chestermiller said:
I would never have solved it this way. I would have expressed everything in terms of t.
Exactly, I too would have done the same.
 

Similar threads

Replies
7
Views
2K
  • · Replies 6 ·
Replies
6
Views
3K
Replies
6
Views
2K
Replies
2
Views
2K
  • · Replies 8 ·
Replies
8
Views
2K
  • · Replies 11 ·
Replies
11
Views
2K
  • · Replies 7 ·
Replies
7
Views
2K
  • · Replies 8 ·
Replies
8
Views
2K
  • · Replies 6 ·
Replies
6
Views
2K