Smoke interface height and temperature

Click For Summary
SUMMARY

The discussion centers on calculating the smoke interface height and temperature in fire scenarios, specifically using the temperature of smoke (Th) as a key variable. The participants emphasize the importance of accurately labeling graph axes and units, with Th values noted as 36.48 K and 290.2 K. The solution involves determining the smoke interface location and temperature, calculated from a height of 3 meters below the ceiling and above a door height of 6 meters, utilizing two distinct methods for a fast-growing fire scenario.

PREREQUISITES
  • Understanding of fire dynamics and smoke behavior
  • Familiarity with graphing techniques and axis labeling
  • Knowledge of temperature measurement units (Kelvin)
  • Proficiency in mathematical calculations related to fire scenarios
NEXT STEPS
  • Research fire dynamics and smoke movement in enclosed spaces
  • Learn about graphing techniques for scientific data representation
  • Study temperature measurement and conversion between units
  • Explore advanced fire modeling software for simulating smoke behavior
USEFUL FOR

Fire safety engineers, researchers in fire dynamics, and professionals involved in fire modeling and smoke control strategies will benefit from this discussion.

Sabra_a
Messages
33
Reaction score
6
Homework Statement
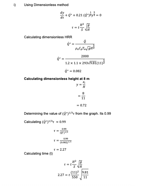
A warehouse has a floor area of 550 m2 and a height of 11 m. An accidental fire starts on the ground. There is one door opening (3 m high and 6 m wide) at the floor level.

(i) The fire is a steady fire with heat release rate (HRR) 2 MW. Determine, using both the dimensionless method and Klote & Milke’s method, the smoke interface position and corresponding smoke layer temperature and plot them as functions of time from 3m below the ceiling to the top of the opening. Make suitable comments on your results.

(ii) Using one suitable method, repeat the calculations and plot the same as in (i) for a fast growing t^2 fire.
Relevant Equations
Dimensionless method
Klote and Milke's method
Heat release rate
smoke layer height
Screen Shot 2019-12-05 at 2.07.03 AM.png

Screen Shot 2019-12-05 at 2.08.03 AM.png

Screen Shot 2019-12-05 at 2.08.38 AM.png
Screen Shot 2019-12-05 at 2.08.59 AM.png

Screen Shot 2019-12-05 at 2.09.20 AM.png
Screen Shot 2019-12-05 at 2.09.38 AM.png

Screen Shot 2019-12-05 at 2.10.01 AM.png
 
Physics news on Phys.org
@Sabra_a
Looks to quite an involved calculation with formulas and graphs.
Unfortunately, I do not have much of the familiarity with fires and smoke to help you out.

But some things I would ask about.

1575744824377.png

What would be the labels on the axis, and units?
From formula does the graph made?

1575745080771.png

Same here - labels and units and formula.

Above the graph is the Th = 36.48 K.
( the previous Th was 290.2 K )
What's Th - the temperature of the smoke?
Is Th supposed to be less than ambient?
 
  • Like
Likes   Reactions: berkeman and Sabra_a
Thank you fo the reply. I changed few things in my answer
for the graph smoke interface height on the x-axis its time in seconds any y-axis is the smoke interface height
that's my solution. its a really long solution I sill couldn't fit one more page in and it will be difficult to explain. in the first part we are finding the location of the smoke interface and its temperature. its taken from 3 m below the ceiling and above the door which is 6m. this is solved using 2 different methods. them repeating the same calculation for a fast growing fire.
Screen Shot 2019-12-21 at 12.48.03 AM.png
Screen Shot 2019-12-21 at 12.48.24 AM.png

Screen Shot 2019-12-21 at 12.48.51 AM.png
Screen Shot 2019-12-21 at 12.49.12 AM.png

Screen Shot 2019-12-21 at 12.49.31 AM.png

Screen Shot 2019-12-21 at 12.49.51 AM.png


Screen Shot 2019-12-21 at 12.50.10 AM.png

Screen Shot 2019-12-21 at 12.50.29 AM.png


Screen Shot 2019-12-21 at 12.50.49 AM.png

Screen Shot 2019-12-21 at 12.51.15 AM.png
 

Similar threads

Replies
4
Views
2K
  • · Replies 15 ·
Replies
15
Views
3K
  • · Replies 4 ·
Replies
4
Views
3K
  • · Replies 10 ·
Replies
10
Views
2K
  • · Replies 4 ·
Replies
4
Views
2K
  • · Replies 2 ·
Replies
2
Views
3K
  • · Replies 0 ·
Replies
0
Views
2K
  • · Replies 7 ·
Replies
7
Views
3K
  • · Replies 3 ·
Replies
3
Views
2K
  • · Replies 2 ·
Replies
2
Views
1K