Solving coupled equations analytically

Click For Summary
SUMMARY

The discussion focuses on solving coupled equations analytically, specifically transforming them into Bernoulli’s form. The user, Asif, seeks assistance in deriving an expression for the variable i1 and subsequently calculating its derivative with respect to u, which involves second derivatives of i2. The solution process leads to a second-order linear ordinary differential equation (ODE) for i2, emphasizing the importance of understanding linear differential equations as a culmination of prior mathematical concepts.

PREREQUISITES
  • Understanding of coupled differential equations
  • Familiarity with Bernoulli’s differential equation
  • Knowledge of ordinary differential equations (ODEs)
  • Basic concepts of linear algebra and calculus
NEXT STEPS
  • Study methods for solving second-order linear ODEs
  • Learn about the transformation of differential equations into Bernoulli’s form
  • Explore the relationship between first-order and higher-order differential equations
  • Review linear algebra concepts relevant to differential equations
USEFUL FOR

Students and professionals in mathematics, physics, and engineering who are working with differential equations, particularly those seeking to understand the analytical solutions of coupled equations.

asifadio
Messages
10
Reaction score
1
Homework Statement
I'm trying to solve this coupled equation analytically. My strategy is to convert it into the Bernoulli’s form. But as you can see on my attempt, i got stuck on it.
Relevant Equations
I failed to convert it to Bernoulli’s form and now kinda ran out of ideas.
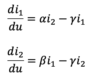
The equation is as attached where,
- α, β and γ are constants
- i1 and i2 are the variables.

Also attached, is my attempt and where I stuck at.

If anyone has an idea how to convert this into Bernoulli’s form, please I really need help. If there are any other ideas please let me know too..

Really appreciate it in advance!

Thank you.
Asif
 

Attachments

  • Screenshot 2021-07-17 at 2.57.30 PM.png
    Screenshot 2021-07-17 at 2.57.30 PM.png
    2.7 KB · Views: 183
  • Screenshot 2021-07-17 at 3.18.26 PM.png
    Screenshot 2021-07-17 at 3.18.26 PM.png
    21.7 KB · Views: 195
  • Like
Likes   Reactions: Delta2
Physics news on Phys.org
Solve the second for ##i_1## and from this expression that you find for ##i_1## calculate also ##\frac{di_1}{du}## which will be an expression containing ##\frac{d^2i_2}{du^2}## and ##\frac{di_2}{du}##.

Then go back in the first and replace ##i_1## with what you found and also replace ##\frac{di_1}{du}## with what you found.

If all go well, I think you ll find a second order linear ODE for ##i_2##.
 
You can do it the way just suggested.
But then how do you solve the second order differential equation? Usually you try the solution i1= eλu and you find that leads to a quadratic in λ.
However you can equally well try the same solution in the original pair of equations and it will lead you to the same result.

Good that you tried to work out a way yourself. The time will not have been wasted. It will have helped you when you go as you now should to your textbook and where you will find this is absolutely all very standard stuff.
In fact it has often seemed to me that everything students have done up to where you are now in math, linear algebraic equations, polynomials, trigonometry, complex numbers,… has had the purpose of leading them to linear differential equations where that and also physics stuff all come together.

Important to realize that n first order differential equations in n variables are equivalent to or can be changed into one ##n##-th order one In one variable, and vice versa. And pretty much the same thing for second order or other orders.
 
Last edited:

Similar threads

  • · Replies 1 ·
Replies
1
Views
2K
  • · Replies 10 ·
Replies
10
Views
4K
  • · Replies 4 ·
Replies
4
Views
2K
  • · Replies 2 ·
Replies
2
Views
1K
  • · Replies 10 ·
Replies
10
Views
2K
  • · Replies 7 ·
Replies
7
Views
3K
  • · Replies 3 ·
Replies
3
Views
3K
  • · Replies 4 ·
Replies
4
Views
8K
  • · Replies 11 ·
Replies
11
Views
2K