Solving I-128 Atom Equations: A Homework Challenge

Click For Summary

Homework Help Overview

The problem involves the creation and decay of the isotope I-128, specifically focusing on modeling the number of I-128 atoms over time given a constant creation rate and a known half-life. The original poster seeks to derive a differential equation that represents this dynamic.

Discussion Character

  • Exploratory, Mathematical reasoning, Assumption checking

Approaches and Questions Raised

  • The original poster attempts to set up a differential equation based on the creation and decay rates of I-128 atoms. Some participants discuss solving the ordinary differential equation (ODE) and suggest methods for finding particular solutions. Others question the assumptions made regarding the decay and creation rates.

Discussion Status

Participants are actively engaging with the problem, providing feedback on the original poster's attempts and clarifying the nature of the creation rate. There is recognition of the need to correctly account for both the creation and decay processes in the model.

Contextual Notes

There is an ongoing examination of the assumptions related to the decay of I-128 and the implications of a constant creation rate. The original poster reflects on potential errors in their reasoning regarding the total number of atoms created and the effect of decay over time.

6Stang7
Messages
212
Reaction score
0

Homework Statement


In an experiment, the isotope I-128 is created by bombarding I-127 with neutrons. This creates 1.5E6 I-128 atoms per second. Initially there are no I-128. The half-life of I-128 is 25 minutes. Find the equation that represents the number of I-128 atoms as a function of time.


Homework Equations



dy/dt=creation rate-decay rate

The Attempt at a Solution



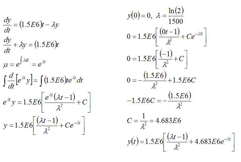
I set up dy/dt=(1.5E6)t-ay.
a is the decay rate in e^(-at), and y(t) is the number of I-128 after time t.
I tried solving this as a first order linear equation and got a horriable answer. Where am I going wrong?
 
Physics news on Phys.org
The solution may be a little messy, but I don't think it it's horriable. The general solution to the ode is C*e^(-at) as you know. Just find a particular solution and add it. It should just be a linear function. Post your solution if you really need more advice.
 
attachment.php?attachmentid=10112&stc=1&d=1179896478.jpg
 

Attachments

  • Equation.JPG
    Equation.JPG
    33.6 KB · Views: 490
I would have solved the ode by first solving y'+ay=0, getting Ce^(-at). Then found a particular solution to y'+ay=kt by observing a linear function will work, setting y=At+B, substituting it in and solving for A and B, getting (kt/a-k/a^2) and then adding it to Ce^(-at). But that's not that different from what you did.
 
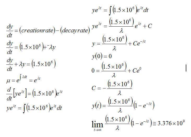
I think I have it, I just want it to get check. At first, my thinkging was that in 25 mins 2.25E9(1.5E6*1500seconds) I-128 atoms are created. If I double 2.25E9, I get 4.5E9. Once there are that many I-128 atoms, then in 25 minutes, half of 4.5E9 will decay; however, in 25 mins 2.25E9 will have been created. However, thinking about that now, I see an error in my logic. The only way 2.25E9 atoms can be created in 25mins is if there is no decay rate. That being said, limit to the number of atoms that will exist after a very long time must be less then 4.5E9. I worked the problem over again this morning with fresh eyes and got this. Does it look good? Seems correct.
attachment.php?attachmentid=10118&stc=1&d=1179949273.jpg
 

Attachments

  • Equation1.JPG
    Equation1.JPG
    32.9 KB · Views: 609
This looks much better. The creation rate is constant - not an increasing function of time. Sorry, I didn't catch that. Thinking more about the mechanics of the solution than the actual problem.
 

Similar threads

Replies
3
Views
2K
  • · Replies 9 ·
Replies
9
Views
2K
  • · Replies 1 ·
Replies
1
Views
1K
  • · Replies 7 ·
Replies
7
Views
3K
Replies
9
Views
7K
  • · Replies 4 ·
Replies
4
Views
1K
  • · Replies 1 ·
Replies
1
Views
2K
  • · Replies 9 ·
Replies
9
Views
4K
  • · Replies 1 ·
Replies
1
Views
1K
  • · Replies 10 ·
Replies
10
Views
2K