Solving Integrals with Exponents

Click For Summary

Homework Help Overview

The discussion revolves around evaluating an integral involving an exponent, specifically a square root, to find the area under a curve. Participants are exploring methods of anti-differentiation and the challenges posed by the exponent in the integral.

Discussion Character

  • Exploratory, Mathematical reasoning, Assumption checking

Approaches and Questions Raised

  • Some participants attempt to apply the chain rule in anti-differentiation but express uncertainty about its effectiveness. Others suggest using substitution methods, particularly involving trigonometric identities, while questioning the original poster's understanding of exponents versus square roots.

Discussion Status

The discussion is ongoing, with participants providing feedback on each other's attempts and clarifying misconceptions about integration techniques. There is a focus on identifying errors in the original poster's work and discussing the correct application of integration rules.

Contextual Notes

Participants note that the integral represents the area of a quarter-circle, which raises questions about the assumptions made in the original calculations. There are indications of errors in the integration process that need to be addressed.

PhysicsBoyMan
Messages
33
Reaction score
0

Homework Statement


Evaluate the integral to find the area.

Homework Equations


The Attempt at a Solution

[/B]
IMG_2118.jpg

gifs upload

So I know how to find an anti-derivative for the most part. Here it's tricky because my equation has an exponent AKA square root. I tried to use the chain rule with anti-differentiation. My result was 0. I'm not sure how to deal with that exponent AKA square root.
 
Physics news on Phys.org
PhysicsBoyMan said:
I tried to use the chain rule with anti-differentiation.
Never heard of that. It doesn't seem to work, does it? Try to use the substitution method with the help of trigonometric identity, remember that ##a^2\sin^2\theta + a^2\cos^2\theta = a^2##.
Note: exponent is not the same as square root.
 
The "chain rule with integration" is "substitution"- but you are doing it wrong.
If you had [itex]\int (ax- b)^n dx[/itex] then you could let u= ax- b so that du= adx and dx= du/a. Replacing ax- b by u and dx by du/a, the integral becomes [itex]\int u^n (du/a)[/itex] and because a is a constant we can take it out and get [itex]\frac{1}{a}\int u^n du[/tex]. <br /> <br /> But if we have [itex]\int (cos(x)- b)^n dx[/itex] and try to do the same thing, we run into a problem. Letting u= cos(x)- b, we have du= -sin(x)dx so that dx= -du/cos(x). Putting those into the integral, [itex]\int u^n (du/cos(x))[/itex]. But now we cannot take "cos(x)" outside the integral because it is NOT a constant! And we cannot integrate cos(x) with respect to u.<br /> <br /> The "chain rule" with <b>differentiation</b> says that if f(x)= g(u(x)) for some differentiable function u, then df/dx= (dg/du)(du/dx). That is, we multiply together the derivatives of g with respect to u and u with respect to x. But doing the "opposite", substituting in the integral for u(x), [itex]\int g(u(x))dx[/itex] we cannot just do the integration with respect to u of g and then multiply by the integral of g. We have to have something line [itex]\int g(u(x))u'(x)dx[/itex]. u'dx= du so the integral becomes [itex]\int g(u)du[/itex]. But the derivative, u', has to <b>already</b> be in the integral. We cannot just multiply as we can with differentiation.[/itex]
 
  • Like
Likes   Reactions: blue_leaf77
PhysicsBoyMan said:

Homework Statement


Evaluate the integral to find the area.

Homework Equations


The Attempt at a Solution

[/B][/B]
IMG_2118.jpg

gifs upload
You have errors on every line of the work you have done. Here is your work, reproduced using LaTeX, with comments.
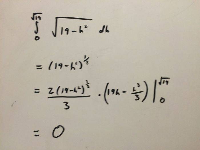
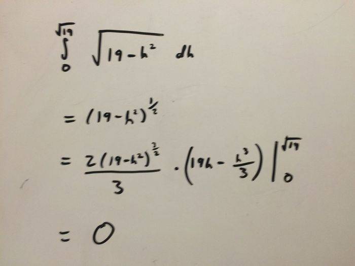
##\int_0^{\sqrt{19}} \sqrt{19 - h^2} dh##
##= (19 - h^2)^{1/2}## No. All you have done is to remove the integration symbol.
##= \frac{2(19 - h^2)^{1/2}}{3} \cdot (19h - \left. \frac{h^3}{3}) \right|_0^{\sqrt{19}}## See comment below.
##= 0## Not a reasonable answer. The integral represents the area of a quarter-circle, whose area is not zero.

From above:
No, this isn't how it works. To get ##19h - \frac{h^3} 3## you integrated ##19 - h^2## but ignored the fact that ##19 - h^2## is raised to the 1/2 power. You can verify that your integration is incorrect by differentiating your antiderivative. For example, ##\int x^3 dx = \frac {x^4} 4 + C##. If I differentiate ##\frac {x^4} 4 + C##, I get ##x^3##, the integrand I started with.
 

Similar threads

  • · Replies 3 ·
Replies
3
Views
2K
  • · Replies 9 ·
Replies
9
Views
2K
Replies
2
Views
3K
  • · Replies 7 ·
Replies
7
Views
2K
  • · Replies 7 ·
Replies
7
Views
3K
Replies
7
Views
3K
Replies
10
Views
2K
  • · Replies 7 ·
Replies
7
Views
2K
  • · Replies 4 ·
Replies
4
Views
1K
  • · Replies 4 ·
Replies
4
Views
4K