Statically indeterminant torsion question

  • Thread starter Thread starter xJJx
  • Start date Start date
  • Tags Tags
    Torsion
Click For Summary

Discussion Overview

The discussion revolves around a question related to statically indeterminate torsion in a stepped shaft, specifically addressing the behavior of torque along different sections of the shaft. Participants explore the implications of varying cross-sectional areas and the application of torque at different points along the shaft, including concepts of equilibrium and moment balance.

Discussion Character

  • Exploratory
  • Technical explanation
  • Debate/contested
  • Mathematical reasoning

Main Points Raised

  • One participant questions how torque can be constant along a stepped shaft, suggesting that different sections should have different torques due to variations in length and cross-sectional area.
  • Another participant emphasizes the importance of not confusing forces or torques with stresses or deformations, raising a question about tension forces in different sections of the shaft.
  • There is a discussion about the assumptions for applying the torsion equation, noting that uniform cross-sectional area is required for each section, which is not the case in a stepped shaft.
  • Participants discuss the concept of moment balance across sections of the shaft, with one asserting that for equilibrium, the torques must be equal (T1 = T2).
  • Confusion arises regarding the direction of torque and equilibrium when both torques are said to rotate clockwise, prompting clarification about the intended direction of rotation in the diagrams.
  • One participant reflects on their professor's teaching regarding the twisting behavior of sections at the change of section, questioning why the observed behavior seems inconsistent with their understanding.
  • Another participant clarifies that in a statically determinate problem, the variation in cross sections does not affect the computation of torques, while in a statically indeterminate problem, internal and end reaction torques depend on section parameters.
  • There is a consensus that the angle of twist at the change in section shapes is the same for both sections, with one being considered positive and the other negative by convention.
  • Participants express gratitude for clarifications and confirm their understanding of torsion, including the applicability of these concepts to hollow shafts, noting that the only difference would be in the polar second moment of area (J).

Areas of Agreement / Disagreement

Participants express varying levels of understanding and agreement on the behavior of torque in stepped shafts, with some clarifying concepts while others remain uncertain. There is no clear consensus on all aspects of the discussion, particularly regarding the implications of applied torque and the conditions for statically indeterminate shafts.

Contextual Notes

Participants acknowledge limitations in their understanding of torsion concepts, particularly in relation to the assumptions made about uniform cross sections and the implications of applied torque at different positions along the shaft.

xJJx
Messages
56
Reaction score
2
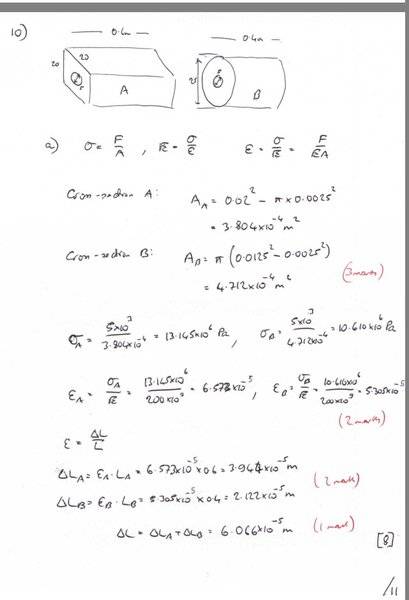
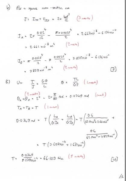
Hi, I'm struggling with this question on an exam pastpaper. I have attached the question and worked solutions below and i am stuck on Q10 c). I'm not sure how they knew that the torque is constant along the whole shaft. I thought a stepped shaft has different torques for its different sections since the length & cross sectional area of the sections are different. Can someone please explain this to me, thank you
 

Attachments

  • image.jpeg
    image.jpeg
    29.6 KB · Views: 504
  • image.jpeg
    image.jpeg
    21.5 KB · Views: 561
  • image.jpeg
    image.jpeg
    19.5 KB · Views: 582
Physics news on Phys.org
0
xJJx said:
I'm not sure how they knew that the torque is constant along the whole shaft. I thought a stepped shaft has different torques for its different sections since . Can someone please explain this to me, thank you
For the first case when the shaft is loaded in tension, do you expect different tension forces in different sections since the cross sectional area of the sections are different? Don't confuse forces or torques with stresses or deformations.
 
  • Like
Likes   Reactions: xJJx
PhanthomJay said:
0
For the first case when the shaft is loaded in tension, do you expect different tension forces in different sections since the cross sectional area of the sections are different? Don't confuse forces or torques with stresses or deformations.
Thank you for taking the time to help. One of the assumptions for applying the torsion equation to a section is that the cross-sectional area must be uniform throughout that section, but it's not uniform in a stepped shaft. Are the torques carried by each section of the shaft different to each other ONLY when the torque is applied at an intermediate position on the shaft (i.e not at one of the ends)?
 
If you do a moment balance on a portion of the shaft that encompasses the change from one cross section to the other, what do you get?
 
  • Like
Likes   Reactions: scottdave and xJJx
Chestermiller said:
If you do a moment balance on a portion of the shaft that encompasses the change from one cross section to the other, what do you get?
T1=T2 in order for the shaft to be in eqm right?
 
Chestermiller said:
If you do a moment balance on a portion of the shaft that encompasses the change from one cross section to the other, what do you get?
I'm also confused at how this shaft can be in eqm if the torques are both rotating clockwise; sorry haha, torsion is my Achilles heel
 

Attachments

  • Capture.PNG
    Capture.PNG
    14.8 KB · Views: 502
xJJx said:
T1=T2 in order for the shaft to be in eqm right?
Correct.
 
xJJx said:
I'm also confused at how this shaft can be in eqm if the torques are both rotating clockwise; sorry haha, torsion is my Achilles heel
It's not drawn very clearly. The one on the left is supposed to indicate counter clockwise.
 
  • Like
Likes   Reactions: xJJx
I see, that makes more sense now! But when teaching us statistical indeterminancy, my professor said when there's an applied torque at the change of section (image uploaded), one of the shaft sections twists one way and the other section twists the other way by the same amount, however looking at the direction of the arrows and eqm equation, this doesn't look like it is the case as they look like they are going in the same direction. Do you know why he did this?
 

Attachments

  • torsion.PNG
    torsion.PNG
    34.7 KB · Views: 547
  • #10
xJJx said:
I see, that makes more sense now! But when teaching us statistical indeterminancy, my professor said when there's an applied torque at the change of section (image uploaded), one of the shaft sections twists one way and the other section twists the other way by the same amount, however looking at the direction of the arrows and eqm equation, this doesn't look like it is the case as they look like they are going in the same direction. Do you know why he did this?
oh now I think I know why you titled this as a statically indeterminate problem. Your first example appears to be a statically determinate shaft fixed at one end and free at the other end with a Torque applied at the free end. For a statically determinate problem, the variation in cross sections doesn't matter when computing torques at various sections of the shaft. You just use the equilibrium equations and free body diagrams to solve for the twisting moments at any section. If for this statically determinate shaft you were to apply a clockwise torque T at some point between the ends of the shaft, then the torques left of that point at any section toward the fixed end would be T counterclockwise , and there would be no torques in the shaft right of that point toward the free end . This is strictly from equilibrium considerations using sum of torques = 0.

Now in your last example with the shaft fixed at both ends, you have a statically INdeterminate problem, which is whole new ballgame, because internal and end reaction torques are very much dependent on the various section parameters (J, G, and L). So in general T1 and T2 are not equal, and you need to look at twist deformation angles to solve the problem. Here both end reaction moments have the same direction as you note, and the angle of twist at the change in section shapes is the same on each section at that point, one considered positive and the other negative, by convention.
 
  • #11
PhanthomJay said:
oh now I think I know why you titled this as a statically indeterminate problem. Your first example appears to be a statically determinate shaft fixed at one end and free at the other end with a Torque applied at the free end. For a statically determinate problem, the variation in cross sections doesn't matter when computing torques at various sections of the shaft. You just use the equilibrium equations and free body diagrams to solve for the twisting moments at any section. If for this statically determinate shaft you were to apply a clockwise torque T at some point between the ends of the shaft, then the torques left of that point at any section toward the fixed end would be T counterclockwise , and there would be no torques in the shaft right of that point toward the free end . This is strictly from equilibrium considerations using sum of torques = 0.

Now in your last example with the shaft fixed at both ends, you have a statically INdeterminate problem, which is whole new ballgame, because internal and end reaction torques are very much dependent on the various section parameters (J, G, and L). So in general T1 and T2 are not equal, and you need to look at twist deformation angles to solve the problem. Here both end reaction moments have the same direction as you note, and the angle of twist at the change in section shapes is the same on each section at that point, one considered positive and the other negative, by convention.
Thank you so much for replying! Your description really helped clear things up for me; initially I was confused because I thought all stepped shafts can't have uniform torque but I understand this isn't the case now. From what you're saying, if a clockwise torque is applied at an INTERMEDIATE position (i.e NOT at the ends) of a shaft fixed at one end and free at the other, the torque which gets transferred along the shaft to the fixed end would be = applied torque (but in opposite direction) and there would be no torque towards the free end? sorry I don't mean to repeat what you're saying, I just want to clarify that you can only really have a statically indeterminant shaft if the shaft doesn't have any free ends right?
 
  • #12
Correct on all counts.
 
  • Like
Likes   Reactions: xJJx
  • #13
PhanthomJay said:
Correct on all counts.
Again, can't thank you enough! I understand torsion much more now. Also, these scenarios are the same for a hollow shaft too right? I can't find anywhere online that explicitly states that but it seems to be the case. The only thing that would be different is J (polar second moment of area) for a hollow shaft, from what I've seen so far.
 
  • #14
xJJx said:
Again, can't thank you enough! I understand torsion much more now. Also, these scenarios are the same for a hollow shaft too right? I can't find anywhere online that explicitly states that but it seems to be the case. The only thing that would be different is J (polar second moment of area) for a hollow shaft, from what I've seen so far.
You are correct again. Keep on plugging!
 
  • Like
Likes   Reactions: xJJx
  • #15
PhanthomJay said:
You are correct again. Keep on plugging!
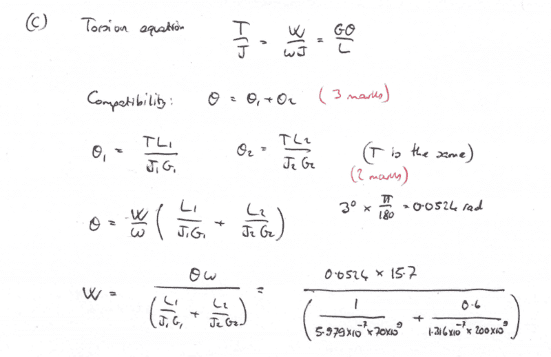
Yayy, okay last thing I'm going to bother you with promise! haha (sorry): I've attached a question I'm stuck on, it's part (c) of the attachment. I've attached both my solutions (blue writing) and my professor's (black writing); instead of substituting P/w into T like how he did, I kept T as it is and used it to calculate the power at the end but my answer is wrong and I don't understand why
 

Attachments

  • torsion 1.PNG
    torsion 1.PNG
    4.7 KB · Views: 487
  • torsion 2.PNG
    torsion 2.PNG
    17 KB · Views: 509
  • torsion 3.PNG
    torsion 3.PNG
    37.3 KB · Views: 493
  • torsion 4.PNG
    torsion 4.PNG
    32.8 KB · Views: 489
  • torsion.PNG
    torsion.PNG
    34.7 KB · Views: 539
  • t.jpg
    t.jpg
    26.5 KB · Views: 410
  • t2.jpg
    t2.jpg
    40.1 KB · Views: 473
  • #16
I didn't check the math, but it doesn't make a difference where you make the substitution for P = Tw. Probably a math error by someone.
 

Similar threads

  • · Replies 1 ·
Replies
1
Views
2K
  • · Replies 2 ·
Replies
2
Views
4K
  • · Replies 6 ·
Replies
6
Views
4K
  • · Replies 4 ·
Replies
4
Views
2K
  • · Replies 4 ·
Replies
4
Views
3K
  • · Replies 2 ·
Replies
2
Views
3K
  • · Replies 1 ·
Replies
1
Views
2K
  • · Replies 3 ·
Replies
3
Views
4K
  • · Replies 2 ·
Replies
2
Views
3K
  • · Replies 1 ·
Replies
1
Views
2K