Statically indeterminate problem

Click For Summary

Discussion Overview

The discussion revolves around a statically indeterminate problem involving a system with segments made of different materials (laton and steel). Participants are attempting to calculate the stress in each segment and are analyzing the forces acting on the system, particularly focusing on the assumptions regarding tension and compression in the members.

Discussion Character

  • Homework-related
  • Technical explanation
  • Debate/contested

Main Points Raised

  • One participant presents a homework statement and equations related to the problem but expresses confusion over the solution provided in the answer key.
  • Another participant questions whether there is something omitted from the figure that would explain the difference between forces Fc and Fd, suggesting they should be equal in static equilibrium.
  • A later reply indicates that the initial assumptions about members being in compression or tension may be incorrect and emphasizes the need to let the mathematics determine the signs of the forces.
  • One participant argues that all terms can be treated as positive and claims to have obtained correct answers based on that assumption, questioning whether this implies all segments are in tension.
  • Another participant clarifies that, based on the figure, both Fc and Fd are compressive forces, leading to a discussion about the implications for the center section of the system.
  • There is a contention regarding the interpretation of the force in the center section, with one participant calculating a negative force value, suggesting compression, while another insists that the consistent treatment of compressive stresses as positive indicates tension.

Areas of Agreement / Disagreement

Participants express differing views on the assumptions regarding the states of tension and compression in the segments. There is no consensus on the correct interpretation of the forces acting on the system or the implications for the stress in the segments.

Contextual Notes

Participants have not resolved the assumptions regarding the signs of the forces and how they relate to the physical states of the segments. The discussion reflects varying interpretations of the problem based on the provided figure and the mathematical treatment of the forces.

Queren Suriano
Messages
48
Reaction score
0

Homework Statement


Calculate the stress in every segment of the system. AD and BC are laton and AB is steel.

Homework Equations


geometry compatibility-δ(A/D) +δ(A/B) - δ(C/B) = 0

F(D) - F(C) - 50 =0

The Attempt at a Solution



I supossed that DA and BC are in compression and AB is in tension. But I don't get the answer of the book, so I would like you help to understand what I am analyzing wrong.
upload_2015-4-4_22-25-18.png


upload_2015-4-4_22-27-16.png

The solution is this but I don't understand it...
upload_2015-4-4_23-2-29.png
 
Last edited by a moderator:
Physics news on Phys.org
Is there something omitted from the figure that accounts for the fact that Fc and Fd are different? From the figure, it looks like they should be equal if the system is in static equilibrium.

Chet
 
Chestermiller said:
Is there something omitted from the figure that accounts for the fact that Fc and Fd are different? From the figure, it looks like they should be equal if the system is in static equilibrium.

Chet
Do you refer to the figure of segment BC??
 
Oh. I wasn't able to see them until I enlarged the figure.

Be back shortly.

Chet
 
OK. I didn't look at what the answer key did, but I did look at what you did.

You just had some sign issues. You can't arbitrarily assume that certain members are in compression and certain others are in tension. You need to let the math do the work for you. I let the δ's represent the increases in length of the three members. If they are in compression, then the signs will come out negative. So,

$$δ_{AD}+δ_{AB}+δ_{CB}=0$$
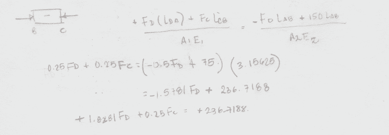
$$-\frac{F_DL_{AD}}{E_1A_1}-\frac{(F_D-150)L_{AB}}{E_2A_2}-\frac{F_CL_{CB}}{E_1A_1}=0$$

Chet
 
  • Like
Likes   Reactions: Queren Suriano
Chestermiller said:
OK. I didn't look at what the answer key did, but I did look at what you did.

You just had some sign issues. You can't arbitrarily assume that certain members are in compression and certain others are in tension. You need to let the math do the work for you. I let the δ's represent the increases in length of the three members. If they are in compression, then the signs will come out negative. So,

$$δ_{AD}+δ_{AB}+δ_{CB}=0$$
$$-\frac{F_DL_{AD}}{E_1A_1}-\frac{(F_D-150)L_{AB}}{E_2A_2}-\frac{F_CL_{CB}}{E_1A_1}=0$$

Chet
Chestermiller said:
OK. I didn't look at what the answer key did, but I did look at what you did.

You just had some sign issues. You can't arbitrarily assume that certain members are in compression and certain others are in tension. You need to let the math do the work for you. I let the δ's represent the increases in length of the three members. If they are in compression, then the signs will come out negative. So,

$$δ_{AD}+δ_{AB}+δ_{CB}=0$$
$$-\frac{F_DL_{AD}}{E_1A_1}-\frac{(F_D-150)L_{AB}}{E_2A_2}-\frac{F_CL_{CB}}{E_1A_1}=0$$

Chet
 
Last edited:
Queren Suriano said:
But what do you write all the terms negative?Anyway if I multiplicate (-1) it turns positive; I solved assumed all terms positive and I get the correct answers, and they give possitive...So does this mean that the 3 segments are in tension?
 
Last edited:
Thanks for your help
 
No. The way the figure is drawn, Fc and Fd are both compressional forces. So the two end sections are in compression. What does that tell you about the center section? Also, look at how the forces are applied to the ends of the center section.

Chet
 
  • #10
Chestermiller said:
No. The way the figure is drawn, Fc and Fd are both compressional forces. So the two end sections are in compression. What does that tell you about the center section? Also, look at how the forces are applied to the ends of the center section.

Chet
Ok, but in the center section If I substitute the force F(D) I obtain -42.11 kN. So the center section would be in compression, but in the answer is in tension...
 
  • #11
Queren Suriano said:
Ok, but in the center section If I substitute the force F(D) I obtain -42.11 kN. So the center section would be in compression, but in the answer is in tension...
Throughout this analysis, compressive stresses have consistently been treated as positive (see the figure). So, -42.11 kN means that the center member is in tension.

Chet
 
  • Like
Likes   Reactions: Queren Suriano

Similar threads

  • · Replies 3 ·
Replies
3
Views
3K
  • · Replies 10 ·
Replies
10
Views
4K
  • · Replies 3 ·
Replies
3
Views
2K
  • · Replies 7 ·
Replies
7
Views
3K
  • · Replies 5 ·
Replies
5
Views
2K
  • · Replies 6 ·
Replies
6
Views
2K
Replies
2
Views
3K
  • · Replies 14 ·
Replies
14
Views
3K
  • · Replies 6 ·
Replies
6
Views
4K
Replies
1
Views
3K