Steady State Heat Equation in a One-Dimensional Rod

Click For Summary

Homework Help Overview

The problem involves determining the equilibrium temperature distribution in a one-dimensional rod made of two different materials, with specific thermal properties and boundary conditions. The first material has a constant heat source, while the second material has no sources, and both materials are in thermal contact at a defined point.

Discussion Character

  • Exploratory, Assumption checking, Conceptual clarification

Approaches and Questions Raised

  • Participants discuss the calculations for each segment of the rod and the need to set boundary conditions at the interface. There are questions about the correct application of heat flow equations and the role of thermal conductivity in these calculations.

Discussion Status

Some participants have offered insights regarding the need for a second boundary condition and the importance of equating heat fluxes at the interface. There is an ongoing exploration of the correct mathematical relationships to apply, with no explicit consensus reached yet.

Contextual Notes

Participants note the need for continuity of both heat flux and temperature at the interface, as well as the implications of the thermal properties of the materials involved. There is also mention of potential confusion regarding the application of derivatives in the context of heat flow.

Ninty64
Messages
45
Reaction score
0

Homework Statement


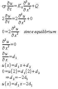
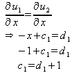
Determine the equilibrium temperature distribution for a one-dimensional rod composed of two different materials in perfect thermal contact at x=1. For 0<x<1, there is one material (cp=1, K0=1) with a constant source (Q=1), whereas for the other 1<x<2 there are no sources (Q=0, cp=2, K0=2) with u(0) = 0 and u(2) = 0.

Homework Equations


heat equation:
2rwt0z6.png

The Attempt at a Solution


First I did the calculations for the first part of the rod (0<x<1)
2h30xe8.png

Then I did the calculations for the second part of the rod (1<x<2)
212u6v9.png

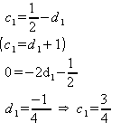
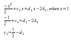
Then I tried to set them equal at x=1
2s9947a.png

And now I'm stuck. I can't figure out how to find out the values of the constants, and I don't feel confident. I feel like I'm doing something wrong.
 
Physics news on Phys.org
You need a second boundary condition. Think about the fact that the heat flow out of one region has to equal the heat flow into the other to conserve energy.
 
Oh! I get it. Since the bar is in equilibrium, the heat will be flowing away from the heat source into the sinks at the end. That means that the the heat flows should be equal at x=1:
image.png

The solving the system of equations yeilds:
image.png

And the final solution should be:
image.jpg

I checked the boundary conditions and they all seemed correct. Thank you! :)

P.S. Sorry for posting in the wrong forum. I wasn't sure where this topic went. Thank you for moving it!
 
Is the heat flow simply du/dx or do you have to throw the Ks in there? I don't know offhand, but it might be something for you to check.

P.S. Sorry for posting in the wrong forum. I wasn't sure where this topic went. Thank you for moving it!
No problem.
 
You must equate fluxes so the conductivity is definitely needed.

You have continuity of both heat flux and temperature at the interface.
 
That makes sense. So instead of [itex]\frac{\partial^2u_1}{\partial x^2} = \frac{\partial^2u_2}{\partial x^2}[/itex], it should have been [itex]\frac{\partial^2u_1}{\partial x^2} = 2\frac{\partial^2u_2}{\partial x^2}[/itex] since I'm setting the fluxes equal.

Thanks for that extra insight. :smile:
 
You must use the first derivative not the second derivative to equate heat fluxes. Eache is multiplied by its respective thermal conductivity.
 

Similar threads

Replies
1
Views
2K
Replies
2
Views
2K
  • · Replies 7 ·
Replies
7
Views
2K
  • · Replies 4 ·
Replies
4
Views
2K
  • · Replies 4 ·
Replies
4
Views
3K
Replies
5
Views
15K
  • · Replies 2 ·
Replies
2
Views
3K
Replies
7
Views
2K
  • · Replies 1 ·
Replies
1
Views
3K
Replies
4
Views
2K