Struggling to understand self sustaining EM waves

Click For Summary

Discussion Overview

The discussion revolves around the nature of self-sustaining electromagnetic (EM) waves, focusing on the relationship between electric (E) and magnetic (B) fields as described by Maxwell's equations. Participants explore the implications of these relationships, the concept of self-sustainability, and the interpretations of various equations related to EM waves.

Discussion Character

  • Exploratory
  • Debate/contested
  • Conceptual clarification

Main Points Raised

  • Some participants express confusion about how E and B fields generate each other, questioning whether one field creates the other or if they coexist without a causal relationship.
  • One participant suggests that Jefimenkos equations might provide a clearer understanding of cause and effect compared to Maxwell's equations.
  • Another participant emphasizes that at an introductory level, it is common to describe the relationship between E and B fields in terms of causation, but this can lead to confusion regarding strict logical implications.
  • There is a discussion about whether EM waves can exist with only one field and what it means for waves to be "self-sustaining." Some participants wonder if the term refers to the coexistence of the fields or the nature of waves in general.
  • An analogy is made comparing the propagation of EM waves to an object in motion under Newtonian mechanics, highlighting that both can continue indefinitely in the absence of external forces.
  • Participants discuss the implications of the term "self-sustaining" and whether it indicates a vacuum solution or something more fundamental about EM waves.
  • One participant reflects on the common teaching that suggests E and B fields generate each other, expressing concern that this leads to a circular understanding of their relationship.

Areas of Agreement / Disagreement

Participants do not reach a consensus on the nature of the relationship between E and B fields or the implications of self-sustainability in EM waves. Multiple competing views remain regarding the interpretation of Maxwell's equations and the terminology used to describe the fields.

Contextual Notes

Participants note that the discussion is complicated by the terminology used in textbooks and educational materials, which may imply causation where none is intended. There is also an acknowledgment that interpretations of equations can vary significantly among different sources.

Who May Find This Useful

This discussion may be useful for students and educators in physics who are grappling with the conceptual underpinnings of electromagnetic waves and the interpretations of Maxwell's equations.

DoobleD
Messages
259
Reaction score
20
I've recently learned about EM waves. One thing I find hard to really get, is how the E and B fields are constantly "generating" each other.

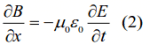
I think maybe the key for this is in the following equations, obtained from Maxwell’s equations in vacuum :

496648eq1.png
230154eq2.png


(source: http://www.google.fr/url?sa=t&rct=j...MlmMOOV7U950u4mFg&sig2=-UeffQGg1JTyJw4Rra8Qlw)

Here we see that:
- a spatial changing E field creates a time changing B field
- a time changing E field creates a spatial changing B field

Or is it the other way around?
- a spatial changing B field creates a time changing E field
- a time changing B field creates a spatial changing E field

Or...is it both? I can guess that both statements are actually true. But isn't this a kind of weird circular statement to say? One thing A creates another thing B but in the same time it is the B thing that makes the A thing.

I find it a difficult concept. Usually in life, B is a consequence of A, or A is a consequence of B. Here it is like A and B are both consequence of each other.

Or maybe I am misunderstanding the principle of a self-sustaining wave. Anybody would have some suggestion of explanation about this phenomenon? Do other people find it hard to understand?
 
Physics news on Phys.org
You may find Jefimenkos equations provide a better "cause and effect" understanding than Maxwell's equations. Personally, since the fields described by Maxwell's equations are happening at the same time and since causes happen before their effects, I don't think that I would use the word "creates" to describe Maxwell's equations.
 
Last edited:
  • Like
Likes   Reactions: vanhees71 and DoobleD
DoobleD said:
Here we see that:
- a spatial changing E field creates a time changing B field
- a time changing E field creates a spatial changing B field

Or is it the other way around?
- a spatial changing B field creates a time changing E field
- a time changing B field creates a spatial changing E field

I would say neither, strictly speaking. I would say:
- a spatially varying E field is associated with a time-varying B field;
- a spatially varying B field is associated with a time-varying E field;
with no "cause and effect" or time-ordering implied.

At the introductory level, people often do say one thing "causes" or "creates" the other, e.g. in electromagnetic induction (Faraday's Law), but this can tie you up in knots if you try to be strictly logical about cause and effect.
 
  • Like
Likes   Reactions: vanhees71 and DoobleD
@jtbell I also like the "is associated with" phrasing, but I wonder if students will ask about what the association entails. Do you think we could say just "is" or "has"?
 
Thank you guys, this is helpfull. Indeed since both fields are simultaneous, makes more sense to talk about both being associated, existing side by side.

I wonder now, since they are not really a consequence of each other, if one could exist without the other in principle? This is not physical of course, but could a single field wave propagate on its own?

I think what is confusing me is the term "self sustaining" which I see a lot in textbooks and videos about EM waves.

Are EM waves self sustaining because of this co existence of the two fields, or simply because they are waves?

Is the wave equation actually already self sustaining? For instance the one for the E field:

emwv.gif

It looks like the equation describes a wave without the need for the B field.

Or, put it another way: if I have an infinite rode in space and I create a wave pulse on the rode, does the pulse just travels forever along the rode? Thus being actually self sustaining.
 
DoobleD said:
I wonder now, since they are not really a consequence of each other, if one could exist without the other in principle? This is not physical of course, but could a single field wave propagate on its own?

But then how would you satisfy the equations?
 
jtbell said:
But then how would you satisfy the equations?

The maxwell's? I couldn't. It wouldn't be physically realistic.

Well, then you might say it is pointless to ask. :D

My question is more about what makes em wave "self sustainable". Like, what makes it go forward, forever.

More simply: I wonder if a "wave", em or other, is always self sustainable by definition, or if this is a particularity of em waves?
 
If it is a particularity of em waves, and if this is due to the simultaneous E and B field, then I'm lost.

Because, heh, the E and B field do not sustain/generate each other but just "are" together. So then, what sustains them.

I hope I am understandable, it's not easy to explain. o)
 
To make a sort of analogy, in Newtonian mechanics, an object that starts out moving at a certain velocity (speed and direction) continues moving thereafter with that velocity, in principle forever, so long as no external forces act on it. What sustains its motion? Nothing!

Similarly, in classical electrodynamics, when a distribution of charges and currents changes, the electromagnetic field changes, and those changes propagate outwards as electromagnetic radiation, at speed c, in principle forever. Unlike the object moving under Newton's first law, the amplitude of the radiation decreases, because it's associated with a flow of energy, and the total energy is conserved as it spreads out over a larger and larger volume.
 
  • #10
DoobleD said:
I wonder now, since they are not really a consequence of each other, if one could exist without the other in principle?
There are two things you could mean by "A is a consequence of B". You could mean "A is caused by B", or you could mean "A is logically implied by B". In either case you could not have B without A. So even though the changing E field may not cause a changing B field, it does logically imply it. So, no, you cannot have one without the other. (In vacuum)
 
  • #11
DoobleD said:
I think what is confusing me is the term "self sustaining" which I see a lot in textbooks and videos about EM waves.
That just means that it is a vacuum solution.
 
  • #12
Ok. So would it be correct to think of EM waves this way:

En waves are a phenomenon composed of two waves, varying E and B fields, moving along forever in vacuum (as anything not subject to any force would, as noted by @jtbell), at constant velocity c. The fields do NOT "generate" each other but simply exist simultaneously, having amplitudes and phases relationships.

Usually when you see something about the derivation of EM waves, you read/hear something like:

- "The result indicates that a time-varying electric field is generated by a spatially varying magnetic field" (MIT EM course notes page 13-9).
- "This means that the spatial variation of the electric field gives rise to a time varying magnetic field, and visa versa" (here).
- "It made evident for the first time that varying electric and magnetic fields could feed off each other" (here).
- "Because a changing electric field generates a changing magnetic field, and a changing magnetic field generates a changing electric field. The combined result, as you might expect, is an infinite loop that "self-propagates" through space" (here).

I could go on and on. It's seems taught and understood by most as if both field were making up each other in some circular way. So I ended up in a circular trap of who is creating who. Sometimes vocabulary choice makes a big difference, at least for me.

I also read more often recently that physics is not so much about giving an interpretation to equations, than just accept them as being in agreement with observations. I'm prepared to give up interpretation and intuitive concepts if someday I start learning about QM, but not before! :D
 
  • #13
DaleSpam said:
@jtbell I also like the "is associated with" phrasing, but I wonder if students will ask about what the association entails. Do you think we could say just "is" or "has"?
I think a lot of the trouble with questions like this is that the electromagnetic field is taught in a way that is outdated for more than 100 years. One should teach special relativity before electromagnetism (in the analytical-mechanics lecture) and then build on that teaching electromagnetism as a (or even the paradigmatic) relativistic classical field theory. Then it becomes clear from the first minute that there is one and only one electromagnetic field with 6 independent field-degrees of freedom ##(\vec{E},\vec{B})## grouped into the Faraday tensor in manifestly co-variant form (although for practical calculations the (1+3)-formalism in a given inertial reference frame is of course more intuitive and must still be the main part of an introdcutory E+M course).

If you then also treat the macroscopic effective theory at the usual level of a homogeneous isotropic medium with just three material constants, ##\epsilon##, ##\mu##, and ##\sigma## in a relativistically covariant way (a la Minkowski), there is also no trouble with other "problems" like homopolar generators/motors and Faraday's Law of induction or some confusion concerning the so-called "hidden momentum" although there is no hidden momentum, and everything was solved already more than 100 years ago by Poincare and von Laue.

You can always make the simplifications of the non-relativistic limit when applicable, but electromagnetism is relativistic at its heart, and the old-fashioned way of representing the non-relativistic limit (without even mentioning it) first, leads to unnecessary confusion. I think E+M, which is tough for beginners anyway since you need quite some machinery of vector calculus, which has to be understood usually in parallel for the first time, and thus it's only helpful to make it simpler by introducing the correct physical concepts in the very beginning.
 
  • Like
Likes   Reactions: Dale
  • #14
vanhees71 said:
One should teach special relativity before electromagnetism (in the analytical-mechanics lecture) and then build on that teaching electromagnetism as a (or even the paradigmatic) relativistic classical field theory.
I am not sure that this is the right way to do it, but I am also not sure that it is the wrong way either. It would be nice if universities would apply the scientific method to their teaching. This would actually be a fairly easy experiment to run and collect data for. Then we could have solid evidence to support the best pedagogical models.
 
  • #15
True. One of our professors teaches E+M in the theory course using the relativistic approach, and he is among the best evaluated professors in the department. So it seems that the students like this approach.
 
  • #16
I found a link with the same trouble :
http://physics.stackexchange.com/qu...really-propagate-through-continuous-induction

Most people seem to be ok with the notion of E and B fields inducing each other. But one guy says basically: don't ask, the equations work, that's it. :D

I don't know what to believe but I have the feeling no one actually really know how to interpret EM waves propagation either. It might be a thing we can't really understand in an intuitive way. Then I'll leave it here too!

EDIT: I also like this point in the link above : "Upon further reading about Relativity and Electromagnetism I also have to wonder if the fundamental error I was making was treating the Electric Field and Magnetic Field as distinct entities when they really both seem to be manifestations of the same underlying "thing" namely what we call the Electromagnetic Field."

To me it is another way of saying that the two fields simply exist together, rather than the induce each other point of view.
 
Last edited:
  • #17
It's very clear: The sources of the electromagnetic field are charge and current distributions. Only this interpretation is consistent with the notion of a relativistic local and causal field theory, which of course finds its extension in relativistic quantum-field theory.

For some reason the retarded solutions of the Maxwell equations are known as "Jefimenko equations", which is totally unjustified, because they go in fact at least back to Lorenz (the Danish physicist written without a t!). Anyway, you find the equations with the correct interpretation under the name Jefimenko equations in Wikipedia:

https://en.wikipedia.org/wiki/Jefimenko's_equations
 
  • Like
Likes   Reactions: DoobleD
  • #18
vanhees71 said:

I had a look at it after DaleSpam suggested it. I'd need more time to understand these, but I found something very interesting in the article this second time :

There is a widespread interpretation of Maxwell's equations indicating that spatially varying electric and magnetic fields can cause each other to change in time, thus giving rise to a propagating electromagnetic wave[5] (electromagnetism). However, Jefimenko's equations show an alternative point of view.[6] Jefimenko says, "...neither Maxwell's equations nor their solutions indicate an existence of causal links between electric and magnetic fields. Therefore, we must conclude that an electromagnetic field is a dual entity always having an electric and a magnetic component simultaneously created by their common sources: time-variable electric charges and currents."[7]

This is exactly the point of this discussion! Awesome. :)
 
  • #19
Yep, and that's precisely the correct interpretation. You can of course also rewrite the equations in a way that, e.g., the displacement current becomes part of the sources of the magnetic field. But then you must note that this field itself is also an integral of sources, and the whole discription becomes very cumbersome, non-local and not explicitly causal, although of course at the end it is the same solution.
 
  • Like
Likes   Reactions: DoobleD
  • #20
DoobleD said:
I have the feeling no one actually really know how to interpret EM waves propagation either
It is unwise to start from the fact that a subject is difficult to learn and then extrapolate that to a claim that "nobody knows".
 
  • Like
Likes   Reactions: vanhees71 and Drakkith
  • #21
I agree with that. But I'm not starting from the fact that the subject is difficult. I'm starting from the fact that most people refer to EM waves as a E and B field generating each other. Which seems to be a not so good interpretation, after all.
 
  • #22
DoobleD said:
I had a look at it after DaleSpam suggested it. I'd need more time to understand these, but I found something very interesting in the article this second time :

There is a widespread interpretation of Maxwell's equations indicating that spatially varying electric and magnetic fields can cause each other to change in time, thus giving rise to a propagating electromagnetic wave[5] (electromagnetism). However, Jefimenko's equations show an alternative point of view.[6] Jefimenko says, "...neither Maxwell's equations nor their solutions indicate an existence of causal links between electric and magnetic fields. Therefore, we must conclude that an electromagnetic field is a dual entity always having an electric and a magnetic component simultaneously created by their common sources: time-variable electric charges and currents."[7]

This is exactly the point of this discussion! Awesome. :)
The one thing that you need to keep in mind with Jefimenko's equations is that they assume that there are no EM fields which are not caused by charges and currents. That is a pretty big assumption, and because of it there are solutions to Maxwell's equations which are not solutions to Jefimenko's equations. But for practical purposes Jefimenko's equations are of the correct form for an equation describing a causal relationship, and they work well in a fairly wide range of practical situations where the assumption is valid.
 
  • #23
DoobleD said:
I agree with that. But I'm not starting from the fact that the subject is difficult. I'm starting from the fact that most people refer to EM waves as a E and B field generating each other. Which seems to be a not so good interpretation, after all.
Sure, but even starting from that and extrapolating to "nobody knows" is unwise.
 
  • #24
DaleSpam said:
The one thing that you need to keep in mind with Jefimenko's equations is that they assume that there are no EM fields which are not caused by charges and currents. That is a pretty big assumption, and because of it there are solutions to Maxwell's equations which are not solutions to Jefimenko's equations. But for practical purposes Jefimenko's equations are of the correct form for an equation describing a causal relationship, and they work well in a fairly wide range of practical situations where the assumption is valid.

Thanks for the precisions. Does there exist EM waves not caused by charges and currents? Or do you simply mean that Jefimenko's equations only work if taking in account the charges and currents sources? By opposition with Maxwell's equations which can be used assuming no charge or current at all (so as you wrote those solutions can't be derived from Jefimenko).

DaleSpam said:
Sure, but even starting from that and extrapolating to "nobody knows" is unwise.

True!
 
  • #25
DoobleD said:
Thanks for the precisions. Does there exist EM waves not caused by charges and currents? Or do you simply mean that Jefimenko's equations only work if taking in account the charges and currents sources?
Mostly the latter. There are many times that you have a wave propagating through vacuum and simply want to treat it as a wave without worrying about the charges and currents that caused it, perhaps a long time ago in a galaxy far far away.

It is also possible, in principle, for a wave to have never been caused by a charge. Particularly during the early radiation dominated era of the universe. But typically that is not a real issue for solving EM problems today.
 
  • #26
DaleSpam said:
It is also possible, in principle, for a wave to have never been caused by a charge. Particularly during the early radiation dominated era of the universe.

Woo, this is a (very) intriguing point. I can't dive into it now otherwise I'll never move on with my learning of EM, but good to know. I'd never suspected EM waves could (in principle) exist on their own. Well, there is no physics law which says it can't after all.

DaleSpam said:
perhaps a long time ago in a galaxy far far away.

Nice one. o)
 
  • #27
DaleSpam said:
The one thing that you need to keep in mind with Jefimenko's equations is that they assume that there are no EM fields which are not caused by charges and currents. That is a pretty big assumption, and because of it there are solutions to Maxwell's equations which are not solutions to Jefimenko's equations. But for practical purposes Jefimenko's equations are of the correct form for an equation describing a causal relationship, and they work well in a fairly wide range of practical situations where the assumption is valid.
Well, the question is, which are the electromagnetic fields realized in nature, and these are those created by charge-current distributions (including magnetization currents describing magnetization like from permanent magnets), and as far as we know, Maxwell's equations and thus also the retarded solutions, called "Jefimenko equations", have proven to be very accurate. At least I'm not aware of any example that they fail to describe electromagnetic fields very accurately, and you need such accurate descriptions of electromagnetic fields to, e.g., describe the motion of particles in particle accelerators very accurately to be able to plan and construct those accelerators (like the LHC at CERN).
 
  • Like
Likes   Reactions: DoobleD

Similar threads

  • · Replies 21 ·
Replies
21
Views
3K
  • · Replies 15 ·
Replies
15
Views
4K
  • · Replies 6 ·
Replies
6
Views
2K
  • · Replies 39 ·
2
Replies
39
Views
6K
  • · Replies 3 ·
Replies
3
Views
2K
  • · Replies 4 ·
Replies
4
Views
3K
  • · Replies 7 ·
Replies
7
Views
2K
  • · Replies 9 ·
Replies
9
Views
9K
  • · Replies 4 ·
Replies
4
Views
4K
  • · Replies 4 ·
Replies
4
Views
2K