Sturm-Liouville and Rayleigh Quotient Problem

  • Thread starter Thread starter FAS1998
  • Start date Start date
  • Tags Tags
    quotient Rayleigh
Click For Summary
SUMMARY

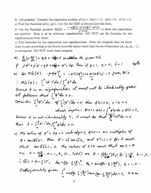
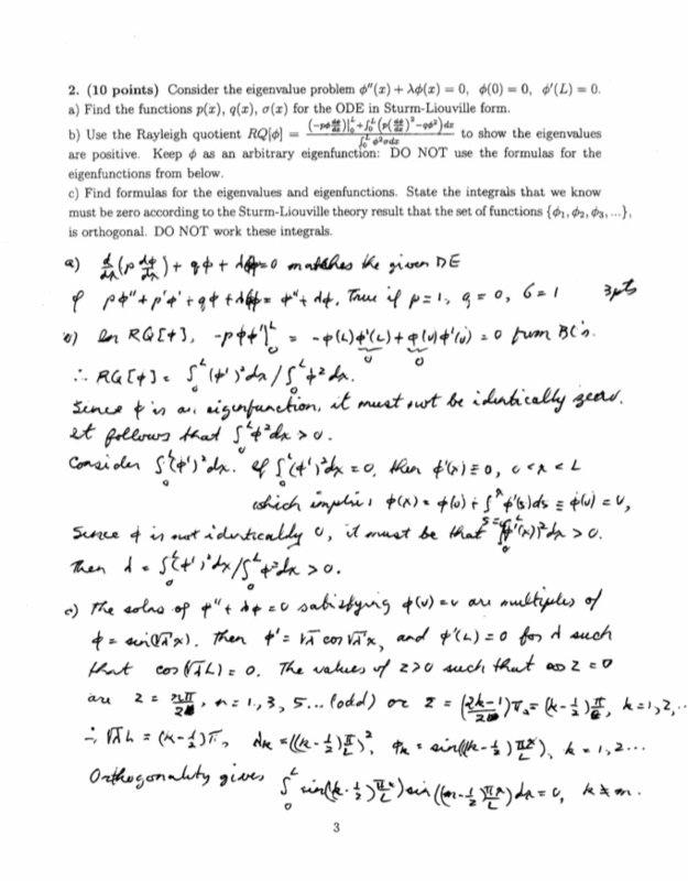
The discussion centers on the Sturm-Liouville problem, specifically identifying that for the given equation, p(x) equals 1, q(x) equals 0, and σ(x) equals 1. The equation can be simplified to the Rayleigh quotient form (∫(dΦ(x)/dx)^2)/(∫Φ(x)^2) with integrals bounded from 0 to L. It is established that the eigenfunction Φ(x) cannot be identically zero, and the proof provided confirms that both the numerator and denominator of the Rayleigh quotient are positive, ensuring the validity of the formulation.

PREREQUISITES
  • Understanding of Sturm-Liouville theory
  • Familiarity with eigenfunctions and eigenvalues
  • Knowledge of boundary conditions in differential equations
  • Basic calculus, particularly integration techniques
NEXT STEPS
  • Study the properties of Sturm-Liouville operators
  • Explore the derivation and applications of the Rayleigh quotient
  • Investigate boundary value problems in differential equations
  • Learn about the implications of non-negative functions in integrals
USEFUL FOR

Mathematicians, physicists, and engineers dealing with differential equations, particularly those focused on eigenvalue problems and boundary value analysis.

FAS1998
Messages
49
Reaction score
1
Homework Statement
I’ve included an image of the problem below. This isn’t technically a homework problem. It’s a practice test question that I have the solutions for. I’m stuck at part 2. I have to show that eigenvalues are positive with the Rayleigh quotient.
Relevant Equations
d/dx(p(x)d*phi(x)/dx) + q(x)*phi(x) + lamda*sigma(x)*phi(x)
By comparing the given equation to the equation for the Sturm-Liouville form, I see that p(x) must equal 1, q(x) must equal 0 and sigma(x) must equal 1.

After this, I have no idea what I should be doing for part 2.
 

Attachments

  • B32CAB4D-214C-4BCB-B857-AFA9869F3A27.jpeg
    B32CAB4D-214C-4BCB-B857-AFA9869F3A27.jpeg
    58.2 KB · Views: 373
Last edited by a moderator:
Physics news on Phys.org
I see now that by plugging in values of p(x), q(x), and σ(x) into the equation, and then applying boundary conditions, it can be reduced to (∫(dΦ(x)/dx)^2)/(∫Φ(x)^2), with both integrals bounded from 0 to L.

I also understand that Φ(x) cannot be identically 0 because it's an eigenfunction.

I still don't understand how we know that both the top and bottom function are not less than 0.
 
FAS1998 said:
I see now that by plugging in values of p(x), q(x), and σ(x) into the equation, and then applying boundary conditions, it can be reduced to (∫(dΦ(x)/dx)^2)/(∫Φ(x)^2), with both integrals bounded from 0 to L.

I also understand that Φ(x) cannot be identically 0 because it's an eigenfunction.

I still don't understand how we know that both the top and bottom function are not less than 0.

This follows from the following straightforward proposition:

Let [itex]f : [a,b] \to \mathbb{R}[/itex] be continuous, non-negative and not identically zero. Then [tex]\int_a^b f(x)\,dx > 0.[/tex]
Proof: As [itex]f[/itex] is non-negative and not identically zero, there exists [itex]x_0 \in [a,b][/itex] such that [itex]f(x_0) > 0[/itex]. By continuity of [itex]f[/itex], there exists an interval [itex][c,d] \subseteq [a,b][/itex] of strictly positive width containing [itex]x_0[/itex] such that if [itex]x \in [c,d][/itex] then [itex]f(x) \geq \frac12 f(x_0)[/itex]. But then [tex] \int_a^b f(x)\,dx \geq \int_c^d f(x)\,dx \geq \int_c^d \tfrac12 f(x_0)\,dx = \tfrac12 (d - c)f(x_0) > 0[/tex] as required.
 
  • Like
Likes   Reactions: FAS1998

Similar threads

  • · Replies 4 ·
Replies
4
Views
2K
Replies
11
Views
4K
  • · Replies 2 ·
Replies
2
Views
2K
  • · Replies 5 ·
Replies
5
Views
2K
  • · Replies 8 ·
Replies
8
Views
3K
  • · Replies 4 ·
Replies
4
Views
2K
Replies
3
Views
5K
  • · Replies 7 ·
Replies
7
Views
3K
  • · Replies 8 ·
Replies
8
Views
5K
  • · Replies 1 ·
Replies
1
Views
2K