The association of degrees of freedom with temperature

Click For Summary

Discussion Overview

The discussion revolves around the relationship between degrees of freedom and temperature in the context of kinetic theory and the equipartition theorem. Participants explore how temperature relates to heat capacity and the implications of degrees of freedom for gas particles, touching on theoretical and empirical aspects of these concepts.

Discussion Character

  • Exploratory
  • Technical explanation
  • Debate/contested
  • Mathematical reasoning

Main Points Raised

  • One participant questions how the connection between temperature and degrees of freedom is established, suggesting it may stem from either derivation or empirical observation.
  • Another participant argues that temperature itself is not dependent on degrees of freedom, but rather that heat capacity increases with more degrees of freedom due to the equipartition theorem.
  • Some participants discuss the implications of the Maxwell-Boltzmann distribution and how it separates into independent one-dimensional problems, raising questions about energy distribution across dimensions.
  • There is a suggestion that the average energy for one dimension can be derived, but confusion arises regarding the expected results compared to established values.
  • Participants express uncertainty about whether the association of heat capacity with degrees of freedom is purely empirical or if it has a theoretical basis.

Areas of Agreement / Disagreement

Participants do not reach a consensus on the relationship between temperature and degrees of freedom. Some argue for a direct connection through heat capacity, while others maintain that temperature is independent of degrees of freedom, leading to an ongoing debate.

Contextual Notes

Participants note that the equipartition theorem has specific conditions and caveats, and the discussion includes unresolved mathematical steps regarding energy distribution in different dimensions.

Who May Find This Useful

This discussion may be of interest to those studying statistical mechanics, thermodynamics, or kinetic theory, particularly in understanding the nuances of temperature, heat capacity, and degrees of freedom in gas behavior.

JohnnyGui
Messages
802
Reaction score
51
I delved a bit into the kinetic theory of gases and it got me wondered how it is discovered that the temperature, and thus heat capacity, is dependent on the number of degrees of freedom of a molecule or atom.

I know that from the piston experiment a certain constant value can be found for the amount of Joule per Kelvin for a gas and that from the derivation of the Maxwell Boltzmann distribution for gases that each particle has on average an energy of ##\frac{3}{2} k_B T##. But I don't see how it is concluded that the number ##3## in that equation must be related to the number of degrees of freedom of a gas particle.

For example, was this deduced by somehow derivig a one-dimensional Maxwell-Boltzmann Distribution for energy which would yield an average energy of ##\frac{1}{2}k_B T##? Or was it some kind of empirical conclusion?
 
Science news on Phys.org
I believe it incorrect to say the Temperature is dependent upon the Degrees of Freedom. At a give Temperature the equipartition theorem says that the energy associated with this T spreads evenly from a thermal bath (with a few caveats...not of interest here) to all available takers (degrees of freedom). So a system with many available degrees of freedom has more places for storage and hence a higher heat Capacity. We define Boltzmann so that each degree of temperature gives kB /2 .
In a free gas in 3D there are 3 independent numbers needed to define velocity, and each velocity "stores" energy...the exact statement of equipartition requires that the energy be quadratic in each quantity...
 
hutchphd said:
I believe it incorrect to say the Temperature is dependent upon the Degrees of Freedom. At a give Temperature the equipartition theorem says that the energy associated with this T spreads evenly from a thermal bath (with a few caveats...not of interest here) to all available takers (degrees of freedom). So a system with many available degrees of freedom has more places for storage and hence a higher heat Capacity. We define Boltzmann so that each degree of temperature gives kB /2 .
In a free gas in 3D there are 3 independent numbers needed to define velocity, and each velocity "stores" energy...the exact statement of equipartition requires that the energy be quadratic in each quantity...

I think it's indeed better to state that the heat capacity is dependent on the degrees of freedom instead of temperature. But what I'm wondering here is how it is deduced that each dimensional velocity stores energy making the heat capacity dependent that exact way. I mean, were researchers able to predict the number of degrees of freedom based on the structure of molecules/atoms and then somehow hypothesize that heat capacity is proportional to it which is then tested empirically?
 
This very definitely a theoretical result from classical statistical mechanics. Temperature is really defined only for an ensemble of stuff (like gas molecules) in equilibrium. It says that each degree of freedom for each particle shares the energy equally and from our definition of temperature and Boltzmann we get the kB[T/2. Take a look at the heat capacities of gases...it is a remarkable result. Yes you can predict it from the shapes of gases. For solids and liguids it can be less simple because places energy can go are more complicated.. I'm certain you can find good derivations. Check it out.
 
hutchphd said:
Yes you can predict it from the shapes of gases. For solids and liguids it can be less simple because places energy can go are more complicated.. I'm certain you can find good derivations. Check it out.

I have indeed read the deriviations. But I'm not entirely sure if the association is purely made based on empirical research. It seems somewhat too random to hypothesize that heat capacity is dependent on the number of degrees of freedom and that there must be some mathematical derivations behind it.

Is there a way to prove through the MB Distribution that the value of the heat capacity changes with the number of n dimensions?
 
The MB distribution immediately separates into 3 independent 1D problems. Write down the answers.
 
hutchphd said:
We define Boltzmann so that each degree of temperature gives kB /2 .
Since the introduction of the new SI units, this is a definition of temperature units rather than the Boltzmann constant. The Boltzmann constant in the new SI units is an exact defined quantity.
 
  • Like
Likes   Reactions: hutchphd
hutchphd said:
The MB distribution immediately separates into 3 independent 1D problems. Write down the answers.

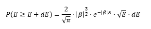
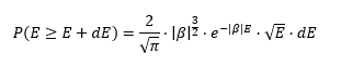
So I tried doing this but a then I wondered about something. The 3 dimensional MB distribution formula for energy is:
245686

Where ##P(E≥ E + dE)## is the probability of finding a particle with energy ##E ≥ E + dE##. Since ##E = E_x + E_y + E_z##, does this mean that for a certain energy ##E##, the above MB distribution formula covers every possible combination of values for ##E_x##, ##E_y## and ##E_z## of which their sum equals that specific ##E##?
 
JohnnyGui said:
So I tried doing this but a then I wondered about something. The 3 dimensional MB distribution formula for energy is:
View attachment 245686
Where ##P(E≥ E + dE)## is the probability of finding a particle with energy ##E ≥ E + dE##. Since ##E = E_x + E_y + E_z##, does this mean that for a certain energy ##E##, the above MB distribution formula covers every possible combination of values for ##E_x##, ##E_y## and ##E_z## of which their sum equals that specific ##E##?
If I understand your notation then yes. (Well, within the infinitesimal spherical shell dE to be precise)
 
  • #10
hutchphd said:
If I understand your notation then yes. (Well, within the infinitesimal spherical shell dE to be precise)

Ok, so this would mean that ##P(E ≥ E + dE) ≠ P(E_x ≥ E_x + dE) \cdot P(E_y ≥ E_y + dE) \cdot P(E_z ≥ E + dE)##, right? (Notice the unequal sign)
 
  • #11
JohnnyGui said:
Ok, so this would mean that ##P(E ≥ E + dE) ≠ P(E_x ≥ E_x + dE) \cdot P(E_y ≥ E_y + dE) \cdot P(E_z ≥ E + dE)##, right? (Notice the unequal sign)
The probability function is for total energy here. Where are you trying to go ?
 
  • #12
hutchphd said:
The probability function is for total energy here. Where are you trying to go ?

I'm trying to split the total energy into its 3 dimensions. I would reckon that multiplying the probabilities of each of the three dimensional energies and integrating that over an 8th of a sphere should give the MB distribution for the total energy.
 
  • #13
If you wish to talk about "Ex " you do not want to be in spherical coordinates. Go a few steps back in any derivation and consider px 2 in cartesian coordinates.

The same math occurs in the 3D random walk for large N:
The probability for total displacement x, y. or z is (the same) gaussian centered at zero for each . The probability of any value of r (distance from the origin) is Chi square distribution which should look familiar here.
But <r2>=<x2>+<y2>+<z2>
 
  • #14
hutchphd said:
If you wish to talk about "Ex " you do not want to be in spherical coordinates. Go a few steps back in any derivation and consider px 2 in cartesian coordinates.

The same math occurs in the 3D random walk for large N:
The probability for total displacement x, y. or z is (the same) gaussian centered at zero for each . The probability of any value of r (distance from the origin) is Chi square distribution which should look familiar here.
But <r2>=<x2>+<y2>+<z2>

Isn't it possible to derive the average energy for 1 dimension using a dimensional energy variable such as ##E_x##?
For example integrating the probability to find a specific particle within a certain energy ##E_x ≥ E_x + dE## over infinity:
$$\int_0^\infty \frac{1}{Z} \cdot e^{-\frac{E_x}{k_BT}} \cdot dE = 1 → Z = k_BT$$
Multiplying the equation within the integral with the energy ##E_x## and integrating it over infinity would give the average energy in 1 dimension, but this yields ##k_BT## instead of ##\frac{1}{2}k_BT##

Why is it wrong then to say that each dimensional component of energy has on average ##k_BT## instead of ##\frac{1}{2}k_BT##? Why does it have to be a quadratic component of energy to make it correct?
 
Last edited:
  • #15
[
I'm sorry but I don't know what you are doing here. You wouldl need to be more explicit.
This is covered in every undergraduate statistical mechanics book. Reif did a nice rigorous job as I recall. I will not reproduce it here and suggest a look.
 
  • #16
hutchphd said:
[
I'm sorry but I don't know what you are doing here. You wouldl need to be more explicit.
This is covered in every undergraduate statistical mechanics book. Reif did a nice rigorous job as I recall. I will not reproduce it here and suggest a look.

I'm just trying to understand why it is needed to write the one dimensional energy in terms of its quadratic components (##0.5mv_x^2##) to get the correct average energy in 1 dimension and why one may not just use the energy component instead (##E_x##). I can't find any source that explicitly explains this)
 
  • #18
JohnnyGui said:
I'm just trying to understand why it is needed to write the one dimensional energy in terms of its quadratic components (##0.5mv_x^2##) to get the correct average energy in 1 dimension and why one may not just use the energy component instead (##E_x##). I can't find any source that explicitly explains this)
Please look at the references. The succinct answer (for a classical system) is that the integral is over a volume of phase space in order to count the density of available states. When the energy is quadratic in a generalized coordinate, this integral factors. So look it up!
 
  • Like
Likes   Reactions: Orodruin

Similar threads

  • · Replies 53 ·
2
Replies
53
Views
11K
  • · Replies 2 ·
Replies
2
Views
1K
  • · Replies 9 ·
Replies
9
Views
3K
  • · Replies 1 ·
Replies
1
Views
2K
  • · Replies 15 ·
Replies
15
Views
2K
  • · Replies 3 ·
Replies
3
Views
3K
Replies
4
Views
2K
  • · Replies 4 ·
Replies
4
Views
3K
  • · Replies 16 ·
Replies
16
Views
6K
  • · Replies 6 ·
Replies
6
Views
2K