The constitutive equation of Piezoelectric materials ?

Click For Summary
SUMMARY

The discussion focuses on the constitutive equation of piezoelectric materials, specifically lead zirconate titanate (PZT) with a tetragonal perovskite structure. The compliance matrix (Sij) and piezoelectric constant (dmi) are critical in describing the electro-mechanical properties of PZT. The user inquires about the equality of certain compliance coefficients (S31 = S32 = S13 = S23) and the relationship S66 = 2(S11 - S12), indicating the anisotropic material symmetries of PZT. Additionally, the classification of PZT into types such as PZT-4 and PZT-5 is mentioned, which relates to specific material properties.

PREREQUISITES
  • Understanding of piezoelectric materials and their properties
  • Familiarity with compliance matrices in material science
  • Knowledge of tetragonal perovskite structures
  • Basic concepts of anisotropic material symmetries
NEXT STEPS
  • Research the specific properties and applications of PZT-4 and PZT-5 piezoelectric materials
  • Study the derivation and implications of the constitutive equations for piezoelectric materials
  • Explore the significance of anisotropic material symmetries in engineering applications
  • Learn about the experimental methods for measuring piezoelectric constants and compliance coefficients
USEFUL FOR

Material scientists, engineers working with piezoelectric devices, and researchers interested in the properties and applications of PZT materials.

ThangMMM
Messages
2
Reaction score
0
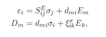
I'm studying about piezoelectric material. The electro - mechanical property of this material can be described by the following constitutive equation:

piezoequation.jpg


Sij is the compliance matrix, and dmi is the piezoelectric constant for the materials

The matrix form of the equation:

matrixform.jpg


Applying this equation for PZT (lead zirconate titanate) materials with tetragonal perovskite structure, some of these above Sij and dmi can be equal, or zero. The equation becomes:

matrixformreduce.jpg


I'm concerning about why S31 = S32 = S13 = S23 and S66 = 2(S11 - S12) ??

When I'm reading some documents about PZT, they usually classify PZT into PZT-4, PZT-5, etc (like this: http://www.efunda.com/Materials/piezo/material_data/matdata_index.cfm ). What does these number after it means ?

thank you very much\..
 
Physics news on Phys.org
ThangMMM said:
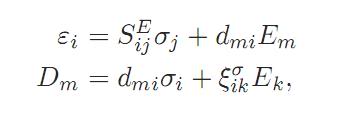
I'm studying about piezoelectric material. The electro - mechanical property of this material can be described by the following constitutive equation:

View attachment 125487

Sij is the compliance matrix, and dmi is the piezoelectric constant for the materials

The matrix form of the equation:

View attachment 125488

Applying this equation for PZT (lead zirconate titanate) materials with tetragonal perovskite structure, some of these above Sij and dmi can be equal, or zero. The equation becomes:

View attachment 125489

I'm concerning about why S31 = S32 = S13 = S23 and S66 = 2(S11 - S12) ??
These conditions must mean that PZT has anisotropic material symmetries such that it is transversely isotropic.
 

Similar threads

Replies
3
Views
7K
  • · Replies 3 ·
Replies
3
Views
3K