The Eigenfunction of a 2-electron system

Click For Summary

Homework Help Overview

The discussion revolves around demonstrating that the wave function of a two-electron system is an eigenfunction of the Hamiltonian when the electrons do not interact. The participants are exploring the implications of the Hamiltonian and the wave function in the context of quantum mechanics.

Discussion Character

  • Exploratory, Conceptual clarification, Mathematical reasoning

Approaches and Questions Raised

  • The original poster attempts to show that the wave function is an eigenfunction but encounters difficulties in the calculations, particularly in substituting values and simplifying terms. Some participants suggest substituting the two-electron wave function directly into the Hamiltonian, while others question whether it is more appropriate to split the Hamiltonian for each electron instead.

Discussion Status

The discussion is ongoing, with participants providing insights and suggestions for approaching the problem. There is recognition of the challenges faced in the calculations, and some guidance has been offered regarding the substitution of the wave function into the Hamiltonian.

Contextual Notes

Participants note specific values such as Z = 2 and discuss the implications of terms like ##-\hbar^2 / 2m## in their calculations. There is an acknowledgment of the need to show that the energy is a constant without dependence on ##r##.

Settho
Messages
4
Reaction score
0
Homework Statement
Show that the wave function is an eigenfunction of the hamiltonian.
Relevant Equations
Hamiltonian, wave function, energy and Born radius
Hello!

I am stuck at the following question:
Show that the wave function is an eigenfunction of the Hamiltonian if the two electrons do not interact, where the Hamiltonian is given as;
Schermafbeelding 2019-04-28 om 20.33.57.png


the wave function and given as;
Schermafbeelding 2019-04-28 om 20.34.45.png


and the energy and Born radius are given as:
Schermafbeelding 2019-04-28 om 20.51.31.png


and I used this for ∇ squared:
Schermafbeelding 2019-04-28 om 20.50.07.png


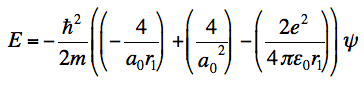
I am stuck at the end of the calculation. I know Z = 2, but somehow I don't end up with the energy, which you need to show that it is indeed an eigenfunction. This is what I get and where I am stuck at:
Schermafbeelding 2019-04-28 om 20.46.42.png


and even when I substitute a0 in this formula, I don't get the energy value. I honestly don't know where it did go wrong.
If someone is able to help, that would be great.
 
Physics news on Phys.org
You need to substitute the two-electron wavefunction$$\psi(r_1,r_2)=\psi(r_1)\psi(r_2)=\frac{1}{\sqrt{\pi}}\left( \frac{Z}{a_0}\right)^{3/2}e^{-\frac{Z}{a_0}r_1}\frac{1}{\sqrt{\pi}}\left( \frac{Z}{a_0}\right)^{3/2}e^{-\frac{Z}{a_0}r_2}$$in your Hamiltonian. The energy is a constant and should have no ##r## dependence.
 
Last edited:
But isn't it just the idea to split the Hamiltonian in electron 1 and electron 2 instead of the two-electron wave function?
 
Settho said:
I am stuck at the end of the calculation. I know Z = 2, but somehow I don't end up with the energy, which you need to show that it is indeed an eigenfunction. This is what I get and where I am stuck at:
View attachment 242595
The ##-\hbar^2 / 2m## term doesn't factor out of all terms.
 
DrClaude said:
The ##-\hbar^2 / 2m## term doesn't factor out of all terms.

Your simple suggestion made me solve the problem. Thank you so much!
 

Similar threads

  • · Replies 1 ·
Replies
1
Views
2K
Replies
6
Views
2K
  • · Replies 14 ·
Replies
14
Views
3K
Replies
4
Views
3K
  • · Replies 2 ·
Replies
2
Views
2K
Replies
46
Views
3K
  • · Replies 8 ·
Replies
8
Views
4K
  • · Replies 11 ·
Replies
11
Views
6K
  • · Replies 1 ·
Replies
1
Views
2K
  • · Replies 6 ·
Replies
6
Views
2K