Time derivative using the quotient rule

Click For Summary
SUMMARY

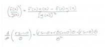
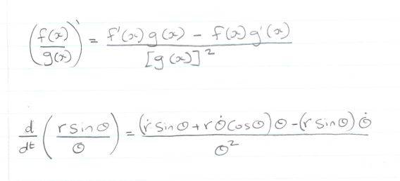
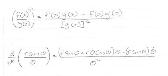
The discussion centers on the application of the quotient rule for calculating time derivatives in mechanics, specifically when both variables "r" and "theta" are time-dependent. The user seeks confirmation on the correctness of their application of the quotient rule in their numerical solution. The consensus among participants is that the quotient rule has been applied correctly in this context.

PREREQUISITES
  • Understanding of calculus, specifically differentiation techniques
  • Familiarity with the quotient rule in calculus
  • Knowledge of time-dependent functions in mechanics
  • Basic principles of numerical methods for solving mechanics problems
NEXT STEPS
  • Review the application of the quotient rule in calculus
  • Study time-dependent functions in mechanics
  • Explore numerical methods for solving differential equations
  • Learn about advanced differentiation techniques in multivariable calculus
USEFUL FOR

Students and professionals in physics and engineering, particularly those working on numerical solutions to mechanics problems and requiring a solid understanding of calculus and differentiation techniques.

Mishal0488
Messages
20
Reaction score
1
Hi Guys

Sorry for the rudimentary post. I am busy with a numerical solution to a mechanics problem, and the results are just not as expected. I am re-checking the mathematics to ensure that all is in order in doing so I am second guessing a few things

Referring to the attached scan, is the quotient rule used correctly when taking the time derivative of the function? Note that both "r" and "theta" are time dependent.

Thanks in advance
 

Attachments

  • Capture.JPG
    Capture.JPG
    10.4 KB · Views: 162
Physics news on Phys.org
Looks right.
 

Similar threads

  • · Replies 12 ·
Replies
12
Views
6K
  • · Replies 13 ·
Replies
13
Views
2K
  • · Replies 3 ·
Replies
3
Views
2K
  • · Replies 15 ·
Replies
15
Views
2K
  • · Replies 2 ·
Replies
2
Views
1K
  • · Replies 10 ·
Replies
10
Views
3K
  • · Replies 7 ·
Replies
7
Views
2K
  • · Replies 1 ·
Replies
1
Views
2K
  • · Replies 4 ·
Replies
4
Views
2K
  • · Replies 131 ·
5
Replies
131
Views
9K