Trigonometric definite integral of 1/(4-sqrt(x))

Click For Summary
SUMMARY

The discussion focuses on solving the trigonometric definite integral of the function 1/(4-sqrt(x)). The poster initially attempted a substitution method using trigonometric identities but encountered errors in their calculations. Key steps included changing variables to v = cos(u) and manipulating sine and cosine terms, which led to confusion regarding the indefinite integral. The poster acknowledged mistakes in their calculations and expressed a need for clarity in their work, particularly in formatting using LaTeX.

PREREQUISITES
  • Understanding of trigonometric identities and substitutions
  • Familiarity with integral calculus, specifically definite and indefinite integrals
  • Proficiency in LaTeX for mathematical formatting
  • Knowledge of variable substitution techniques in calculus
NEXT STEPS
  • Study the method of substitution in trigonometric integrals
  • Learn how to properly format mathematical expressions using LaTeX
  • Explore the properties of definite integrals and their applications
  • Investigate common pitfalls in variable substitution during integration
USEFUL FOR

Students and educators in mathematics, particularly those focused on calculus and integral techniques, as well as anyone looking to improve their skills in mathematical notation and problem-solving.

archaic
Messages
688
Reaction score
214
Homework Statement
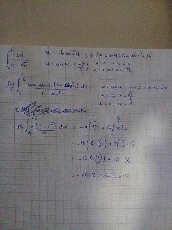
$$\int_0^1\frac{dx}{4-\sqrt x}$$
Relevant Equations
N/A
This could be solved by the substitution ##u=\sqrt x##, but I wanted to do it using a trigonometric one. The answer is false, but I don't see the wrong step. Thank you for your time!

[Poster has been reminded to learn to post their work using LaTeX]

20200211_184317.jpg
 
Last edited by a moderator:
Physics news on Phys.org
Challenge to decipher someones photographed scribbles. ##\LaTeX## is soooo much more legible.

Do I discern a ##\ \ 1-\sin^2u\quad## (
1581437911676.png
) in the denominator and on the next line a simple ##v## (
1581438005429.png
)?
 
BvU said:
Challenge to decipher someones photographed scribbles. ##\LaTeX## is soooo much more legible.

Do I discern a ##\ \ 1-\sin^2u\quad## ( View attachment 256961 ) in the denominator and on the next line a simple ##v## ( View attachment 256962 )?
I mad the change of variable ##v=\cos u##, changed the sine to cosine squared and canceled one power, since there is another cosine in the nominator.
I am sorry for not formatting the math, but it would've been a bit tedious (more than having to decipher someone else's scribbles. thank you very much!).
 
My bad I missed that one. Let me try another:
how much is $$16 \int_1^\sqrt{3\over 4} v\, dv$$

:smile:
 
BvU said:
My bad I missed that one. Let me try another:
how much is $$16 \int_1^\sqrt{3\over 4} v\, dv$$

:smile:
Oh, I have doubly squared the ##3##, thank you.
My original concern was about the indefinite integral, though, as that manipulation is getting me a wrong one.
$$-16\int \frac{dv}{v}+16\int v\,dv=-16\ln|v|+8v^2+C$$
I have that ##x=16\sin^4u \Leftrightarrow u=\arcsin\frac{\sqrt[4] x}{2}##, and ##v=\cos u=\cos\left(\arcsin\frac{\sqrt[4] x}{2}\right)## [which I have calculated wrongly as ##\frac{4-\sqrt x}{2}## and just figured it out writing this response, thank you very much!].
 
  • Like
Likes   Reactions: BvU
And nicely typeset in ##\LaTeX## too !

archaic said:
My original concern was about the indefinite integral
Intriguing. Needs checking because we move into the complex range. Haven't got it sorted out, but I do notice a difference between the original and the one you derived from it.
 
BvU said:
And nicely typeset in ##\LaTeX## too !Intriguing. Needs checking because we move into the complex range. Haven't got it sorted out, but I do notice a difference between the original and the one you derived from it.
How it is in the picture is correct, I meant that I have made a mistake when switching back to ##x##.
 

Similar threads

  • · Replies 105 ·
4
Replies
105
Views
7K
Replies
10
Views
2K
  • · Replies 24 ·
Replies
24
Views
4K
  • · Replies 22 ·
Replies
22
Views
3K
Replies
20
Views
2K
  • · Replies 14 ·
Replies
14
Views
2K
  • · Replies 44 ·
2
Replies
44
Views
6K
  • · Replies 2 ·
Replies
2
Views
2K
  • · Replies 11 ·
Replies
11
Views
2K
  • · Replies 3 ·
Replies
3
Views
3K