Understanding Fluid Flow and Stress in Two Dimensions with LaTex Tutorial

Click For Summary

Discussion Overview

The discussion revolves around understanding fluid flow and stress in a two-dimensional context, particularly focusing on a viscous liquid sliding down an inclined plane. Participants explore the physical mechanisms involved, the role of pressure, momentum transfer, and the application of boundary conditions in fluid dynamics.

Discussion Character

  • Exploratory
  • Technical explanation
  • Debate/contested
  • Mathematical reasoning

Main Points Raised

  • Some participants question why pressure is considered zero at the interface and discuss the implications of this assumption on fluid behavior.
  • There is a proposal that the fluid's motion is primarily driven by gravitational effects, with no pressure involved at the interface.
  • Participants express uncertainty about the momentum transfer at the interface, particularly at the boundary where the fluid meets the gas.
  • One participant expresses frustration with the "momentum flux" approach, suggesting that a focus on stresses and force balances may provide clearer insights.
  • Concerns are raised about the shear stress exerted by air on the fluid beneath the interface, with some participants noting that the low viscosity of air contributes to negligible shear stress.
  • There is a discussion about the equivalence of momentum flux and shear stress, with participants sharing different perspectives on the teaching of these concepts in their courses.

Areas of Agreement / Disagreement

Participants do not reach a consensus on the best approach to analyze the fluid flow and stress. Multiple competing views remain regarding the role of pressure, momentum flux, and shear stress in the context of the problem.

Contextual Notes

Participants express varying levels of understanding regarding the physical mechanisms at play, the definitions of momentum flux and shear stress, and the implications of boundary conditions. There are unresolved mathematical steps and assumptions that influence the discussion.

williamcarter
Messages
153
Reaction score
4

Homework Statement



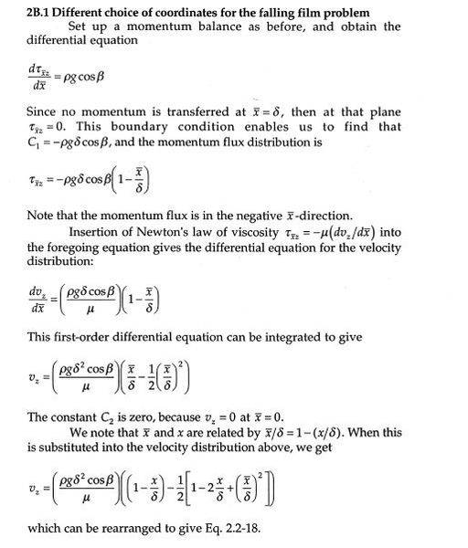
ff.JPG

Homework Equations


0=viscous+gravitational+pressure
I saw in the solutions that pressure=0 in this case, but why?

I also knew that : accumulation= flow in - flow out+generation, why not use this one?

The Attempt at a Solution


ffsol.JPG
(their solution)

We are interested in getting the velocity profile.

I do not understand why they said at x=delta there is no momentum being transferred?is it because it is at the interface? how exactly is the fluid flowing?I want to understand the phenomena

Below I am attaching 2 of my sketches, in the solution says that viscous force acting on x surface(which is perpendicular to the plane, and in the z direction). How did they knew that?

Which of the below sketches I made are correct, no1 or no2.

How can we deduce how is it flowing, given that he gave us the boundaries y=0 as the wall and y=delta as the gas-liquid interface?
pic.JPG
pic2.JPG
I would really appreciate it if you could also provide me a better sketch, if mine are wrong.

Thank you in advance.
 
Physics news on Phys.org
I've looked over the problem statement, and I've looked over you questions, and I can help you. I would like to start out by your saying in your own words what you think is taking place here, including the physical mechanisms involved. Let me get you started.

We have a film of viscous liquid sliding down an inclined plane. (Your turn to continue).
 
The fluid is sliding down due to gravitational effect, no pressure is involved as P=Patm=0 at the interface.
I believe my sketch no1 is correct for this problem as the fluid is acting on the x surface(perpendicular to the plane) in the z direction(inclined).

Applying the boundary conditions we can conclude that the velocity=0 , near the wall where x(width of film)=0 .
At x=delta , there is no momentum generated due to the interface.
 
williamcarter said:
The fluid is sliding down due to gravitational effect, no pressure is involved as P=Patm=0 at the interface.
I believe my sketch no1 is correct for this problem as the fluid is acting on the x surface(perpendicular to the plane) in the z direction(inclined).

Applying the boundary conditions we can conclude that the velocity=0 , near the wall where x(width of film)=0 .
At x=delta , there is no momentum generated due to the interface.
OK. You had indicated that you didn't understand why the momentum flux is zero at the free surface. Do you understand this now?
 
  • Like
Likes   Reactions: williamcarter
Chestermiller said:
OK. You had indicated that you didn't understand why the momentum flux is zero at the free surface. Do you understand this now?
Thank you for your answer, I am not sure, all I can think about when x=delta at the interface is that momentum is not generated due to the width of the film, and that the film is going to that zone(interface).

Please correct me if I do mistakes/say stupid things.
 
I hate developments in which they use the "momentum flux" approach. It drives me crazy, and the mathematics are very counter intuitive. So with your permission, I'm going to try how to illustrate how much simpler it is to do all this in terms of stresses and force balances. Would that be OK?

Meanwhile:
At the free surface, since air is on the other side of the interface, what is the normal stress that the air exerts on the fluid beneath the interface? Since the viscosity of air is so low, what do you think the shear stress is that the air exerts on the fluid beneath the interface?
 
  • Like
Likes   Reactions: williamcarter
Chestermiller said:
I hate developments in which they use the "momentum flux" approach. It drives me crazy, and the mathematics are very counter intuitive. So with your permission, I'm going to try how to illustrate how much simpler it is to do all this in terms of stresses and force balances. Would that be OK?

Meanwhile:
At the free surface, since air is on the other side of the interface, what is the normal stress that the air exerts on the fluid beneath the interface? Since the viscosity of air is so low, what do you think the shear stress is that the air exerts on the fluid beneath the interface?
Thank you so much for your reply, it is much appreciated.
Yes, it is ok, no problem , I would be glad !
Regarding to the 2nd part, is the shear stress so low/negligible because the density of the gas is also very low,like the momentum transfer is low because low density of gas that cannot transfer momentum into fluid?
 
williamcarter said:
Thank you so much for your reply, it is much appreciated.
Yes, it is ok, no problem , I would be glad !
Regarding to the 2nd part, is the shear stress so low/negligible because the density of the gas is also very low,like the momentum transfer is low because low density of gas that cannot transfer momentum into fluid?
It's more the low viscosity than the low density, but, in any event, the shear stress exerted by the air on the free surface is zero. (You are aware that the shear stress is equal to the viscosity times the velocity gradient, right?)

Remember that, from now on, we are going to work with shear stress rather than momentum flux, right? In your course, did they teach you that the momentum flux is equivalent to the shear stress? Stress is a so much easier concept to visualize than momentum flux because we can all relate to force per unit area.
 
  • Like
Likes   Reactions: williamcarter
Chestermiller said:
It's more the low viscosity than the low density, but, in any event, the shear stress exerted by the air on the free surface is zero. (You are aware that the shear stress is equal to the viscosity times the velocity gradient, right?)

Remember that, from now on, we are going to work with shear stress rather than momentum flux, right? In your course, did they teach you that the momentum flux is equivalent to the shear stress? Stress is a so much easier concept to visualize than momentum flux because we can all relate to force per unit area.

In our course we have transport by convection and the lecturer calls the flux JBconv=Concentration of B * Velocity= (B/Volume)*Velocity=q*v*v(for B=momentum)
and also JBdiffusion=Tauzx (zx is just an example on z surface in x direction)
 
  • #10
williamcarter said:
In our course we have transport by convection and the lecturer calls the flux JBconv=Concentration of B * Velocity= (B/Volume)*Velocity=q*v*v(for B=momentum)
and also JBdiffusion=Tauzx (zx is just an example on z surface in x direction)
OK. I'd like to go to a simpler approach, but, before I do, there are some preliminaries I'd like to introduce.

Consider the figure below. It shows a slab of the fluid situated between planes of constant x, at ##x## and ##x+\Delta x##.
Cauchy stress.PNG

Also shown in the figure are two unit vectors, each pointing from inside the slab to outside the slab at its two boundaries. So at the top surface, the unit vector is pointing in the +x direction, and at the bottom surface, the unit vector is pointing in the - x direction.

Now I'm going to do something a little crazy. I am going to write down the following quantity: ##\tau_{zx}\mathbf{i_z}\mathbf{i_x}##. Note that it is z-x component of the stress tensor multiplied by two unit vectors, one in the z direction and the other in the x direction, respectively. Note that there is no mathematical operation (such as the cross product or the dot product) implied between the two unit vectors. So, as it stands, this expression has no obvious physical meaning. But look what happens when we dot this quantity with a unit vector in the +x direction (pointing out of the slab) in the following way:
$$(\tau_{zx}\mathbf{i_z}\mathbf{i_x})\centerdot \mathbf{i_x}=\tau_{zx}\mathbf{i_z}(\mathbf{i_x}\centerdot \mathbf{i_x})=+\tau_{zx}\mathbf{i_z}$$This is the shear stress that the fluid within the slab exerts on the fluid above it (including its correct direction). So, to get this stress, along with its correct direction, all we need to do is dot our crazy expression (involving the two juxtaposed unit vectors) with a unit vector pointing out of our slab. From Newton's 3rd law, the shear stress exerted by the fluid above the slab on the fluid within the slab is just ##-\tau_{zx}\mathbf{i_z}##.

Now, let's go to the bottom boundary and do the same thing, and see what we come up with. The unit vector pointing out of the slab at the bottom boundary of the slab is ##-\mathbf{i_x}##. Now, doing our new trick, we get: $$(\tau_{zx}\mathbf{i_z}\mathbf{i_x})\centerdot (\mathbf{-i_x})=\tau_{zx}\mathbf{i_z}(\mathbf{i_x}\centerdot (\mathbf{-i_x}))=-\tau_{zx}\mathbf{i_z}$$ This is the shear stress that the fluid within the slab exerts on the fluid below the bottom boundary (including its correct direction). So, to get this stress, along with its correct direction, all we need to do is again dot our crazy expression with a unit vector pointing out of our slab. From Newton's 3rd law, the shear stress exerted by the fluid below the slab on the fluid within the slab is just ##+\tau_{zx}\mathbf{i_z}##.

This is a foolproof way for getting the correct forces exerted by the fluid above and below the slab on the fluid within the slab, along with guaranteeing that the direction and sign of the forces are correct.

I'll stop here and let you digest this. Next will do a force balance on the slab in our problem, using this new trick to get the correct forces.

Questions?
 
Last edited:
  • Like
Likes   Reactions: williamcarter
  • #11
I see that you "like" what I've shown so far. Does that mean that you have what you need now to understand the solution to your problem, or that you would like me to continue?
 
  • Like
Likes   Reactions: williamcarter
  • #12
Chestermiller said:
I see that you "like" what I've shown so far. Does that mean that you have what you need now to understand the solution to your problem, or that you would like me to continue?
I understood that bit you wrote it , I would be more than glad if you can continue.
 
  • #13
Free Body Diagram for Force Balance:

Fluid Force Balance.PNG

The figure above shows the force balance on a slab of the fluid between x and ##x+\Delta x##, and z and ##\Delta z##. This is the basic free body diagram. The equation for the force balance is $$\rho g \cos {\beta}\mathbf{i_z}\Delta z\Delta x+[\tau_{zx}\mathbf{i_z}]_{x}\Delta z-[\tau_{zx}\mathbf{i_z}]_{x+\Delta x}\Delta z=0$$Dividing this equation by ##\Delta x\Delta z##, taking the limit of the resulting equation as ##\Delta x## approaches zero, and dotting the resulting equation with ##\mathbf{i_z}## yields: $$\frac{d\tau_{zx}}{dx}=\rho g \cos \beta$$
How does this work for you?

I would also like the generalize the trick I taught you in post #10 to show how the stress tensor can be used to get the force per unit area (stress vector) on a plane of arbitrary orientation within the fluid.
 
  • Like
Likes   Reactions: williamcarter
  • #14
Chestermiller said:
Free Body Diagram for Force Balance:

View attachment 124293
The figure above shows the force balance on a slab of the fluid between x and ##x+\Delta x##, and z and ##\Delta z##. This is the basic free body diagram. The equation for the force balance is $$\rho g \cos {\beta}\mathbf{i_z}\Delta z\Delta x+[\tau_{zx}\mathbf{i_z}]_{x}\Delta z-[\tau_{zx}\mathbf{i_z}]_{x+\Delta x}\Delta z=0$$Dividing this equation by ##\Delta x\Delta z##, taking the limit of the resulting equation as ##\Delta x## approaches zero, and dotting the resulting equation with ##\mathbf{i_z}## yields: $$\frac{d\tau_{zx}}{dx}=\rho g \cos \beta$$
How does this work for you?

I would also like the generalize the trick I taught you in post #10 to show how the stress tensor can be used to get the force per unit area (stress vector) on a plane of arbitrary orientation within the fluid.
Thank you very much for your reply, I understood until now,I would be happy if you could continue.
 
  • #15
In post #10, we examined an unusual quantity ##\tau_{zx}\mathbf{i_z}\mathbf{i_x}## and showed how it could be used to determine the force per unit area (stress) on a plane of constant x. In the present post, we will extend this approach to greater generality and start to show how it can be used to determine the stress on a plane of any arbitrary orientation within the fluid (as well as the momentum flux through that plane).

We begin by writing down not just a single term, but a sum of similar terms in 2D (x,z) as follows:
$$\pmb{\sigma}=p\mathbf{i_x}\mathbf{i_x}+p\mathbf{i_z}\mathbf{i_z}+\tau_{xx}\mathbf{i_x}\mathbf{i_x}+\tau_{xz}\mathbf{i_x}\mathbf{i_z}+\tau_{xz}\mathbf{i_z}\mathbf{i_x}+\tau_{zz}\mathbf{i_z}\mathbf{i_z}$$where p is the pressure and the tau's are the viscous stresses.

Now, I have a homework problem for you. Based on what was done in post #10, what do you get if you do ##\pmb{\sigma}## with a unit vector in the x direction, ##\pmb{i_x}##. That is $$\pmb{\sigma}\centerdot \pmb{i_x}=(p\mathbf{i_x}\mathbf{i_x}+p\mathbf{i_z}\mathbf{i_z}+\tau_{xx}\mathbf{i_x}\mathbf{i_x}+\tau_{xz}\mathbf{i_x}\mathbf{i_z}+\tau_{xz}\mathbf{i_z}\mathbf{i_x}+\tau_{zz}\mathbf{i_z}\mathbf{i_z})\centerdot \pmb{i_x}$$

Up to now, your equations have been extremely hard to read because you haven't used the LaTex app. To do this homework assignment properly, you are going to have to learn LaTex. Physics Forums offers a simple tutorial on LaTex. To get to the tutorial, click on the INFO drop down menu, and then click on LaTex tutorial.
 

Similar threads

  • · Replies 1 ·
Replies
1
Views
3K
Replies
1
Views
4K
  • · Replies 25 ·
Replies
25
Views
5K
Replies
7
Views
2K
  • · Replies 18 ·
Replies
18
Views
3K
  • · Replies 4 ·
Replies
4
Views
6K
  • · Replies 73 ·
3
Replies
73
Views
17K
  • · Replies 7 ·
Replies
7
Views
7K
  • · Replies 51 ·
2
Replies
51
Views
9K
  • · Replies 1 ·
Replies
1
Views
2K