Uniform Circular Motion on a racetrack

Click For Summary
SUMMARY

The discussion centers on the application of uniform circular motion principles in a racetrack scenario. Participants emphasize the importance of solving related problems to grasp the underlying concepts effectively. The strategy for tackling these problems remains consistent, with variations in the unknown quantities involved. Understanding the mechanics of circular motion is crucial for accurate problem-solving in this context.

PREREQUISITES
  • Understanding of uniform circular motion principles
  • Familiarity with kinematic equations
  • Basic knowledge of forces acting on an object in circular motion
  • Ability to analyze problems involving unknown quantities
NEXT STEPS
  • Study the equations of motion for uniform circular motion
  • Practice solving problems involving centripetal acceleration
  • Explore the relationship between speed, radius, and period in circular motion
  • Learn about the forces acting on objects in circular paths
USEFUL FOR

Students studying physics, educators teaching mechanics, and anyone interested in understanding the dynamics of motion on a racetrack.

cle102
Messages
2
Reaction score
0
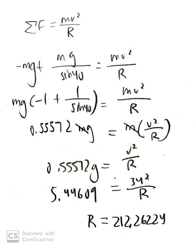
Homework Statement
A racetrack has the shape of an inverted cone, as the drawing shows. On this surface the cars race in circles that are parallel to the ground. For a speed of 34.0 m/s, at what value of the distance d should a driver locate his car if he wishes to stay on a circular path without depending on friction?
Relevant Equations
a=v^2/R
F꜀=(mv^2)/R
μg = v^2/R
LPWSdaqyNQuHy5_fTN1yK3RL2Ys1zf4UeXldaM1-Smu_2y4j9O.jpg

Not sure what I'm doing here. Not sure how to continue? Please help.

IMG_7874.jpeg

Thank you in advance!
 
Physics news on Phys.org
First solve the other problem you posted, and you will see how to approach this one. The strategy is the same, only the unknown quantities are different.
 

Similar threads

  • · Replies 8 ·
Replies
8
Views
2K
Replies
55
Views
3K
Replies
1
Views
949
  • · Replies 7 ·
Replies
7
Views
3K
Replies
8
Views
2K
Replies
2
Views
2K
  • · Replies 10 ·
Replies
10
Views
3K
  • · Replies 11 ·
Replies
11
Views
3K
Replies
19
Views
4K
Replies
1
Views
1K