Using integral to find length of curve

Click For Summary
SUMMARY

The discussion focuses on finding the length of a curve using integral calculus, specifically addressing the challenges of integrating the secant function. The user attempted to apply trigonometric substitution, specifically substituting tan(u), which led to complications with the integral of sec(x). The recommended approach involves using the technique of multiplying the numerator and denominator by (sec(x) + tan(x)) followed by a u-substitution to simplify the integration process. This method is established as a standard technique for integrating secant functions.

PREREQUISITES
  • Understanding of integral calculus and curve length formulas
  • Familiarity with trigonometric functions and identities
  • Knowledge of u-substitution in integration
  • Experience with trigonometric substitution techniques
NEXT STEPS
  • Study the integration of secant functions using the technique of multiplying by (sec(x) + tan(x))
  • Explore trigonometric substitution methods in depth
  • Practice problems involving the length of curves in integral calculus
  • Learn about the applications of curve length in real-world scenarios
USEFUL FOR

Students studying calculus, particularly those focusing on integral calculus and curve length problems, as well as educators looking for effective teaching strategies in trigonometric integration.

a1ccook
Messages
2
Reaction score
0

Homework Statement


Ok, the problem is there are two curves and I need to find out which is shorter. I can't find the first one so I'll just post that. The other should be easy after I learn how to get this one.

Homework Equations


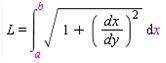
The first curve is:
EQ.jpg


The Attempt at a Solution



I used the formula
EQ2.jpg
and worked it down to
EQ3.jpg
.

I've also seen some similar problems to this where people recommended trig substitutions. I tried substituting tan u in which gave me sec^2 u under the radical. If I go that route, I don't know the integral of sec or how you could carry on. The other way I thought you could do this was to just simplify (from the last picture I posted) and try to integrate that... but that would be rough. Any tips?
 
Physics news on Phys.org
The integral of sec(x) is usually done with the trick of multiplying the numerator and denominator by (sec(x) + tan(x)) followed by a u-substitution. Try it.
 

Similar threads

Replies
2
Views
2K
  • · Replies 9 ·
Replies
9
Views
2K
Replies
7
Views
3K
  • · Replies 6 ·
Replies
6
Views
2K
  • · Replies 4 ·
Replies
4
Views
2K
  • · Replies 2 ·
Replies
2
Views
2K
  • · Replies 7 ·
Replies
7
Views
1K
  • · Replies 3 ·
Replies
3
Views
2K
  • · Replies 22 ·
Replies
22
Views
3K
  • · Replies 1 ·
Replies
1
Views
2K