Volume and Mass of an object using integration

Click For Summary

Homework Help Overview

The problem involves finding the volume and mass of a solid in the first octant defined by the planes x + z = 1 and y + z = 1, with a given density function p(x,y,z) = xyz. Participants are exploring the integration approach to solve for volume and mass.

Discussion Character

  • Exploratory, Mathematical reasoning, Assumption checking

Approaches and Questions Raised

  • Participants discuss the shape of the solid, initially identifying it as a pyramid and questioning the use of a formula versus integration. There are attempts to set up integrals, with some participants suggesting the need to break the integration into parts due to the complexity of the upper surface. Questions arise about the limits of integration and the definition of the "floor" area.

Discussion Status

The discussion is ongoing, with various attempts to clarify the integration setup and bounds. Some participants have provided guidance on how to approach the problem, while others are still grappling with the correct method. There is no explicit consensus yet, but productive suggestions have been made regarding the integration process.

Contextual Notes

Participants note the importance of remaining within the first octant and the implications of the intersection of the curves on the limits of integration. There is mention of a diagram that may help visualize the problem, and some constraints related to the setup of the integrals are being explored.

theno1katzman
Messages
21
Reaction score
0

Homework Statement



Find exactly the volume in the first octant under the planes x + z =1 and y + z =1. Find the mass if the density is p(x,y,z)=xyz.


The Attempt at a Solution



This is a pyramid in shape, so for the volume, rather than constructing a double integral, I used the formula V= Bh/3 which is equal to 1/3.

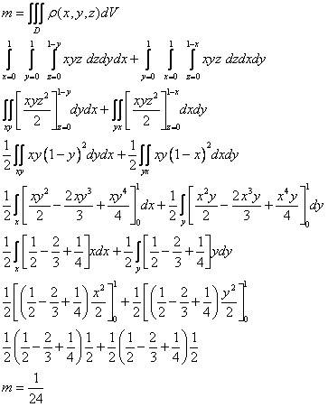
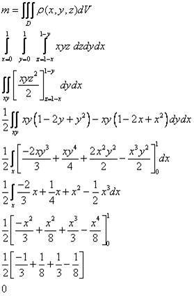
Please see the jpg file for the work on finding the mass.
Where did I go wrong? It came out to be 0.
I tried reversing the z limits and that didn't do anything.
 

Attachments

  • math.jpg
    math.jpg
    14.6 KB · Views: 389
Physics news on Phys.org
You are integrating in the z direction first. But z on the upper surface is not a single formula. The "roof" of your pyramid has two pieces so you must break it up into two integrals. This will also affect your limits in the middle integral. Also, what is z on the "floor"?
 
Thanks here is a second attempt at the problem, please let me know if what I did here is right.
 

Attachments

  • math2.jpg
    math2.jpg
    25.8 KB · Views: 444
No, it isn't. You are integrating over the xy square twice. You need a different "floor" area for each section of the "roof".
 
theno1katzman said:

Homework Statement



Find exactly the volume in the first octant under the planes x + z =1 and y + z =1. Find the mass if the density is p(x,y,z)=xyz.


The Attempt at a Solution



This is a pyramid in shape, so for the volume, rather than constructing a double integral, I used the formula V= Bh/3 which is equal to 1/3.

Please see the jpg file for the work on finding the mass.
Where did I go wrong? It came out to be 0.
I tried reversing the z limits and that didn't do anything.

Hey mate, I don't have time to run over the specifics right now (studying for my own exams!) but here's how this is done.

Edit...I just told you how to calculate the mass of a wire LOL wow it's getting late, let me re-do this

Okay note that the intersection of these curves happens at y=x which is a straight line across the XY plane. Hmmm...this result tells us something.

It tells us that to remain in the first octant z must be less then 1 or else we will have a negative x or a negative y (which are out of the first quadrent). So we have a bound for z, 0-->1

So what are our y and x bounds then? Well we know that x runs from 0-->1-z as does y. Well we can now express this as a double integral without problems,

integrate (x^2 * z) using good bounds and you're home free. Note that x = y is subbed in here, alternatively you could keep it at xyz. Integrate x and y first because they depend on Z and your Z integral then has coefficient bounds. Hurray!

That should be it I'm a little flustered as you can tell (at first I thought you were asking the mass of a wire about those curves LOL!)
 
Last edited:
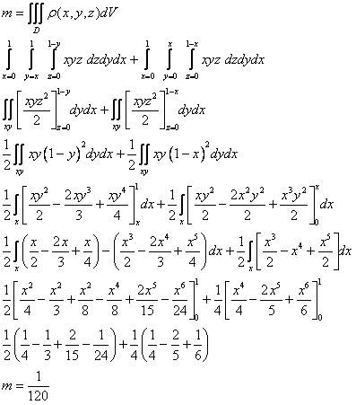
Here is the solution that uses the base areas properly. I drew a diagram for this area as well. Arrows point to surfaces and the surfaces are using drawn with arrows pointing to the pyramids apex.
m=1/120
I hope I have it now. This problem has been bugging me for some time ha-ha.
 

Attachments

  • math3.jpg
    math3.jpg
    27.3 KB · Views: 389
  • math4.jpg
    math4.jpg
    5.2 KB · Views: 425

Similar threads

  • · Replies 9 ·
Replies
9
Views
3K
  • · Replies 6 ·
Replies
6
Views
2K
  • · Replies 16 ·
Replies
16
Views
6K
  • · Replies 4 ·
Replies
4
Views
2K
  • · Replies 2 ·
Replies
2
Views
3K
  • · Replies 14 ·
Replies
14
Views
2K
  • · Replies 19 ·
Replies
19
Views
7K
  • · Replies 10 ·
Replies
10
Views
3K
  • · Replies 1 ·
Replies
1
Views
2K
  • · Replies 6 ·
Replies
6
Views
3K