What Am I Doing Wrong with My Powers?

  • Thread starter Thread starter camboguy
  • Start date Start date
Click For Summary

Homework Help Overview

The discussion revolves around the manipulation of powers in algebraic expressions, specifically focusing on the variable \( u \). Participants are examining a problem that appears straightforward but involves confusion regarding the application of exponent rules.

Discussion Character

  • Conceptual clarification, Mathematical reasoning

Approaches and Questions Raised

  • Participants are questioning the correctness of exponent addition in the expression \( u^5 \cdot u^{1/2} \) and whether it simplifies correctly. There are conflicting interpretations regarding the resulting powers.

Discussion Status

The discussion is active, with participants providing feedback on the original poster's calculations. Some guidance has been offered regarding the exponent rules, but there is no clear consensus on the correct interpretation of the powers involved.

Contextual Notes

There seems to be confusion about the application of exponent rules, particularly in the context of combining powers. The original poster expresses frustration over what they perceive as a simple problem, indicating a possible misunderstanding of the underlying concepts.

camboguy
Messages
36
Reaction score
0
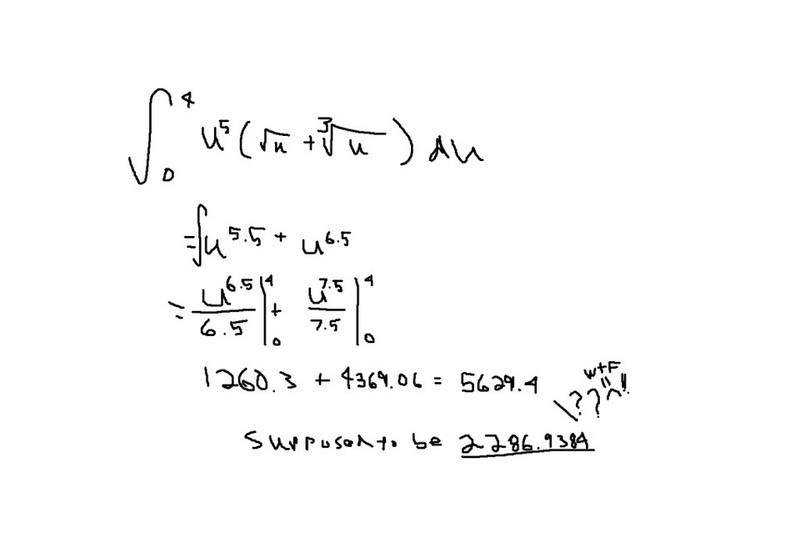
what am i doing wrong here? its an easy problem but what the heck am i doing wrong?

Mathhelp1.jpg
1. The
 
Physics news on Phys.org


u5u1/2=u5+1/2=u11/2

Your powers are wrong for u
 


The problem is with the second term. u^5*u^(1/3) is not u^6.5.
 


Dustinsfl said:
u5u1/2=u5+1/2=u11/2

Your powers are wrong for u
11/2 = 5.5, so there's nothing wrong here.
 

Similar threads

  • · Replies 10 ·
Replies
10
Views
2K
  • · Replies 15 ·
Replies
15
Views
4K
  • · Replies 1 ·
Replies
1
Views
1K
Replies
10
Views
2K
Replies
9
Views
2K
Replies
31
Views
3K
  • · Replies 12 ·
Replies
12
Views
4K
  • · Replies 5 ·
Replies
5
Views
3K
Replies
2
Views
1K