What is the Correct Formula for Calculating the Velocity of Saturn's Rings?

  • Context: High School 
  • Thread starter Thread starter nmsurobert
  • Start date Start date
  • Tags Tags
    Rings Velocity
Click For Summary

Discussion Overview

The discussion revolves around the correct formula for calculating the velocity of Saturn's rings, focusing on the relationship between the radius of the rings and their rotational speed. Participants explore theoretical aspects, mathematical formulations, and potential errors in existing equations.

Discussion Character

  • Technical explanation
  • Debate/contested
  • Mathematical reasoning

Main Points Raised

  • One participant questions the origin of the constant value 29.4 in the equation related to the speed of rotation of Saturn's rings.
  • Another participant suggests that the constant may relate to centripetal acceleration, although they express uncertainty.
  • A participant explains that the formula for circular orbital velocity should apply, indicating that the numerical constant is likely derived from the orbital speed at Saturn's surface, which they calculate to be approximately 25 km/s, not 29.4 km/s.
  • This participant identifies a potential typo in the source material, proposing that the correct value should be 24.9 km/s, which aligns with their calculations from the orbital velocity formula.
  • A later reply acknowledges confusion regarding the conversion of units, specifically between kilometers and meters, while expressing gratitude for the clarification provided.

Areas of Agreement / Disagreement

Participants express differing views on the correct constant value to use in the formula, with some suggesting it is a typo while others remain uncertain about the origins of the values discussed. The discussion does not reach a consensus on the correct formula.

Contextual Notes

There are unresolved questions regarding the assumptions behind the constants used in the equations and the accuracy of the sources referenced by participants.

nmsurobert
Messages
288
Reaction score
36
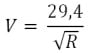
I'm setting up a lab for my class and I've found this equation, but I can't find where a constant value is coming from.

"...the speed of rotation of the rings is related to their radius (from the center of Saturn) by the following equation:

formulas_4.jpg


where R is the distance from the center of Saturn to the ring in multiples of the radius of Saturn (R = 1 corresponds to a distance of 60.268 km)."

The only relation I can find between 29.4 and Saturn, is that it take 29.4 years for Saturn to complete an orbit. I don't think that has anything to do with this equation though.

Can anyone here explain to me where 29.4 is coming from?
 

Attachments

  • formulas_4.jpg
    formulas_4.jpg
    1.1 KB · Views: 1,095
  • Like
Likes   Reactions: Mlesnita Daniel
Astronomy news on Phys.org
Hmmm. I think it has something to do with centripetal acceleration, but I'm not certain.
 
  • Like
Likes   Reactions: nmsurobert
Since each ring particle follows a Keplerian orbit, this should be just the formula for circular orbital velocity, with constants folded into one. I.e. for a small orbiting particle:
##V_o=\sqrt{\frac{GM}{R}}##
The numerical constant is then just the orbital speed at the planet's surface (let us know if you can't see how to get there).
However, there's something wonky in the state of Denmark. If you calculate it for Saturn's mass and 1 orbital radius, you should get approx. 25 km/s, not 29.4.
The only two sources for the formula I could find is some amateur astronomer's blog that only mentions 'bibliography', and the SpaceMath website: https://spacemath.gsfc.nasa.gov/weekly/10Page28.pdf
I went over the solutions to the problems they gave, and the numbers didn't match for P1 and 2. Why that is became clear with problem 3, where it turns out the 29.4 is just a typo. The correct value (which they were actually using) is 24.9 - and that matches what you get from the orbital velocity formula.

So, yeah. Don't use it. Use:
##V=\frac{24.9}{\sqrt{R}}##
Again, 24.9 km/s is the orbital velocity in circular orbit at Saturn's surface (aka first cosmic velocity).
 
Last edited:
  • Like
Likes   Reactions: Drakkith, Buzz Bloom and nmsurobert
Bandersnatch said:
Since each ring particle follows a Keplerian orbit, this should be just the formula for circular orbital velocity, with constants folded into one. I.e. for a small orbiting particle:
##V_o=\sqrt{\frac{GM}{R}}##
The numerical constant is then just the orbital speed at the planet's surface (let us know if you can't see how to get there).
However, there's something wonky in the state of Denmark. If you calculate it for Saturn's mass and 1 orbital radius, you should get approx. 25 km/s, not 29.4.
The only two sources for the formula I could find is some amateur astronomer's blog that only mentions 'bibliography', and the SpaceMath website: https://spacemath.gsfc.nasa.gov/weekly/10Page28.pdf
I went over the solutions to the problems they gave, and the numbers didn't match for P1 and 2. Why that is became clear with problem 3, where it turns out the 29.4 is just a typo. The correct value (which they were actually using) is 24.9 - and that matches what you get from the orbital velocity formula.

So, yeah. Don't use it. Use:
##V=\frac{24.9}{\sqrt{R}}##
Again, 24.9 km/s is the orbital velocity in circular orbit at Saturn's surface (aka first cosmic velocity).

Awesome! Thank you. After reading your explanation I couldn't figure out where the 25 was coming from. I kept getting 25000... meters. Duh.

Thanks again!
 

Similar threads

  • · Replies 16 ·
Replies
16
Views
5K
  • · Replies 5 ·
Replies
5
Views
3K
  • · Replies 8 ·
Replies
8
Views
2K
  • · Replies 6 ·
Replies
6
Views
3K
  • · Replies 19 ·
Replies
19
Views
4K
  • · Replies 22 ·
Replies
22
Views
4K
  • · Replies 3 ·
Replies
3
Views
4K
Replies
5
Views
3K
  • · Replies 16 ·
Replies
16
Views
2K
  • · Replies 2 ·
Replies
2
Views
3K