What is the force of a jet engine and how can I calculate it?

Click For Summary

Homework Help Overview

The discussion revolves around calculating the force produced by a jet engine, with participants seeking realistic values for the variables involved in the relevant equation.

Discussion Character

  • Exploratory, Assumption checking

Approaches and Questions Raised

  • Participants inquire about realistic numbers to use in the force calculation equation and discuss the variables involved, including the speed of the plane and exhaust.

Discussion Status

Some participants suggest looking for technical specifications from manufacturers or online resources, indicating a direction for finding the necessary data, while others express uncertainty about the terminology used.

Contextual Notes

There are mentions of language barriers in accessing information, as well as the potential for varying technical data across different sources.

Maximilian Popelier
Messages
31
Reaction score
3
Hi
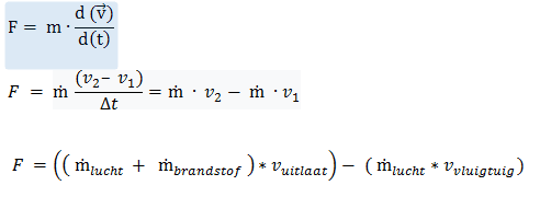
Does someone know realistic numbers that i can put in this equation so i can calculate the force?
Ty maximilian Popelier
 

Attachments

  • Sans titre.png
    Sans titre.png
    2.9 KB · Views: 462
Physics news on Phys.org
lucht = air
brandstof = gasoline
uitlaat = exhaust

But what is vluigtuig?
 
plane the speed of the plane
 
ach Flugzeug ... of course ... should have recognized ...
 
  • Like
Likes   Reactions: Maximilian Popelier
So to make it easier to read:
$$ F = m \cdot \frac{d \vec{v}(t)}{dt} = m \cdot \frac{v_2-v_1}{\Delta t}= \dot m v_2 - \dot m v_1=((m_{air}+m_{gas})\cdot v_{exhaust})-m_{air}v_{plane}$$
and you're looking for realistic figures for the various variables? Have you tried to find some information directly on the manufacturers' websites, i.e. RR and GE?
 
No, should i send a mail?
 
At least, it might be worth an attempt. However, I thought about looking for some technical specifications of their products. Maybe they are available online. Or on some Wikipedia pages about jet engines. (If you swap between different languages on Wiki, you improve your odds, as these pages aren't 1:1 translations. At least our many different languages here are good for something. :wink:)

Or google "technical data jet engine". Just some ideas.
 
  • Like
Likes   Reactions: Maximilian Popelier

Similar threads

  • · Replies 14 ·
Replies
14
Views
3K
Replies
4
Views
2K
Replies
19
Views
3K
Replies
3
Views
3K
  • · Replies 31 ·
2
Replies
31
Views
3K
  • · Replies 1 ·
Replies
1
Views
5K
Replies
11
Views
4K
  • · Replies 3 ·
Replies
3
Views
2K
  • · Replies 3 ·
Replies
3
Views
2K
  • · Replies 9 ·
Replies
9
Views
10K