What pressure would a strain of 40 µε indicate?

  • Thread starter Thread starter Al_Pa_Cone
  • Start date Start date
  • Tags Tags
    Pressure Strain
Click For Summary

Discussion Overview

The discussion revolves around determining the maximum allowable pressure for a cylindrical pressure vessel and the pressure corresponding to a strain of 40 µε. Participants explore the application of material properties, such as Young's modulus and yield stress, in the context of pressure vessel design, including calculations involving hoop stress and strain.

Discussion Character

  • Technical explanation
  • Mathematical reasoning
  • Debate/contested
  • Homework-related

Main Points Raised

  • One participant presents a hoop stress equation, σ = pr/t, and seeks assistance in applying it to find the pressure corresponding to a strain of 40 µε.
  • Another participant questions the accuracy of the hoop stress being equated directly to pressure and asks what pressure would yield a hoop stress of 500 MPa.
  • There is a discussion about the relationship between axial stress and hoop strain, with some participants suggesting that axial stress may be twice the hoop stress.
  • Several participants express uncertainty about the correct equations to use, with one suggesting the need for Hooke's law in three dimensions for plane stress conditions.
  • One participant mentions their background as a distance learning student and their reliance on the forum for assistance in understanding the concepts.
  • There is a debate over whether to divide the calculated maximum pressure by the safety factor of 4, with some participants affirming this approach while others question the yield criterion being applied.
  • One participant discusses anisotropic yield criteria and its relevance to the problem, indicating that the situation does not reach large plastic deformations.
  • Another participant shares their calculations for pressure and yield stress, seeking verification of their approach and results.

Areas of Agreement / Disagreement

Participants express differing views on the application of yield criteria and the correct approach to calculating pressures. There is no consensus on the final answers for the maximum allowable pressure or the pressure corresponding to a strain of 40 µε, as multiple competing views remain throughout the discussion.

Contextual Notes

Participants note limitations in their understanding of yield stress criteria and the need for specific material properties, such as Poisson's ratio, to apply certain equations correctly. The discussion reflects varying levels of familiarity with the relevant concepts and equations.

  • #31
Thanks for that put down! everyone doesn't come from the same level of education. I haven't used the minimal algebra I was taught in school for over 15 years until I started this course. I came on this forum for guidance not answers. I am fully prepared to attempt all of the questions I post first, I was merely expressing my concern at a transposition problem out loud.

Once I get time tomorrow, I will work my way through and post my results.
 
Physics news on Phys.org
  • #32
Al_Pa_Cone said:
Thanks for that put down! everyone doesn't come from the same level of education. I haven't used the minimal algebra I was taught in school for over 15 years until I started this course. I came on this forum for guidance not answers. I am fully prepared to attempt all of the questions I post first, I was merely expressing my concern at a transposition problem out loud.

Once I get time tomorrow, I will work my way through and post my results.
I am truly very sorry. No excuse. I won't let that happen again. Here's what you get when you factor the right hand side of the equation (and correct a few arithmetic errors and typos):

$$0.00004=\left[\frac{\frac{1}{0.006}-0.3\frac{1}{(2)(0.006)}}{210000\ MPa}\right]P$$
Is the Young's modulus 210 GPa or 290 GPa (as in post #1)?
 
  • Like
Likes   Reactions: Al_Pa_Cone
  • #33
I haven't taken any offence by your previous comments but thanks for accepting, it wasnt a helpful reply.

I had noticed the 0.0006 typo when it should have been 0.006 but I missed the 210! good spot. I find transposition very interesting and I like to try and solve these problems myself by substituting unknown values with simple numbers to see what works and what is acceptable. The factorising part was a little more advanced to the basic transposition as I couldn't figure out how to get both values of P into 1 P. I will look back over my maths bridging course and try to refresh my memory on how to achieve it.

Thanks for the help!
 
  • #34
upload_2017-1-11_10-28-56.png

Does This look ok?
 
  • #35
upload_2017-1-11_10-36-54.png

Sorry there was a problem with my answer when I didnt use a bracket when typing in 2*0.006 so it separated.

This is my answer?
 
  • #36
Al_Pa_Cone said:
View attachment 111406
Sorry there was a problem with my answer when I didnt use a bracket when typing in 2*0.006 so it separated.

This is my answer?
Yes. Of course, you'll need to do the arithmetic on the right hand side to come up with an actual number.
 
  • Like
Likes   Reactions: Al_Pa_Cone
  • #37
Yes, I just wanted to check my method of transposition was correct prior to any further calculations. I have worked out the answer to be 81.88 x 10^-3 MPa

Does this look good?
 
  • #38
Al_Pa_Cone said:
Yes, I just wanted to check my method of transposition was correct prior to any further calculations. I have worked out the answer to be 81.88 x 10^-3 MPa

Does this look good?
Yes, aside from a need to address the significant figures issue. Your answer is the same as 82 KPa.
 
  • Like
Likes   Reactions: Al_Pa_Cone
  • #39
Great! Thank you!
 
  • #40
hello,i am stuck with the last question,how you get the 81.88 Mpa?i tryed the equation you used but it gives different number,didyou used a different equation for the solution?i d appreciate your help,thx in advance
 
  • #41
what have you got so far?
 
  • #42
P = (290000/ 1/0.006 - 0.3 x 1/2 x 0.006) x 0.00004 = 0.0008367398 ,i used the equation that chestermiller suggested you to use,is this wrong?completelly stuck on this problem,didnt plan to combine the two equations,and we miss the poisons ratio that's why i saw your solution but didnt what you got,got any idea?
 
  • #43
I will take a look back through this tonight when i get a chance. I think you may have a rounding error somewhere.
I had to factorise the equation and transpose it to get my answer, but it was a jerk to figure out.

Are you doing your HNC at tees uni as well then?
 
  • #44
thank for your help i m not here to get just the answers because i want to learn these things but i got stuck with this one,i coudnt find a solution, i saw your posts and it was the only way to find a answer but i coudnt get the numbers...,yes i m doing the HNC at tees,very convenient because i work and i can study when i can,,for the first question you divided by 4 to get the right number or the 3 Mpa is enough? I will wait for your reply,thank you again
 
  • #45
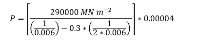
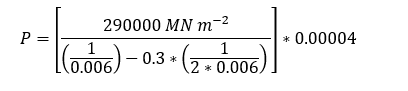
I think your problem is the brackets are missing around the denominator part of that equation. It should be:

Also I received some good advice from a guy on here, it was reflected in my mark from the tutor when he commented on my assignment. The advice was to write down the units into the equations as well, because it helps find out where mistakes have been made.

[(290000 G Nm^-2 ) / (1 m / 0.006 m) - 0.3 x (1 m / (2 x 0.006 m)) ]x 0.00004 = P

This input into a scientific calculator would give the answer 81.88 x 10^-3 in Mega Newtons which is equal to 82 kN when rounded
 
  • #46
how many modules have you done then? maybe you could help me with some of my other assignments?
 
  • #47
Hi Al, how did you go with question 5 part c of this assignment? I'm also doing the same tees assignments as you but hit a wall on q5c. I've slipped up by having to work a lot lately and am struggling to get back into it!
 
  • #48
...
 
Last edited:
  • #49
I have made several attempts but keep going wrong, I've followed you last thread on it but can see how you made it work? i can't get the EI side of it out of my head as I've worked that out to be 113.4knm and that don't fit into you way of working. I'm going to work for a couple of hours now and going to have a go when i get back in, if it can't get it I'm going to do question 6 and submit it see if i get a pass!
Out of interest this is my 4th module, how far on are you?
 
  • #50
...
 
Last edited:
  • #51
...
 
Last edited:
  • #52
Fair play to you for sticking with it. I'm into the mechanical side of things so don't really deal with beams but i should be able to understand it.
What side of work do you want to be in? civils? Thanks so much for the start, I'm going to push the EI working out to one side take your start and go back to the lessons.
 
  • #53
by the way I've done analytical methods, Engineering science, Applications of pneumatics and hydraulics so if i can help with those let me know. it was all going well till this bl**dy question!
 
  • #54
...
 
Last edited:
  • #55
I started as a motorcycle tech and went into heavy rotating plant so we aint that different! I'm happy with my job but wanted to do this as a fall back in case things change.
yes the ones above have all been marked, mainly merits and distinctions with one pass as i sent the wrong sheet in (idiot)
 
  • #56
...
 
Last edited:
  • #57
Thanks, i will look at i when i get back in
 
  • #58
thank you for your reply, just a question,the 290000 is Mn m ^-2 ? and not the Gn ,still i got the same though... P=(290000/166.666666667 - 0.3 x 83.3333333333)x 0.00004 , P= (290000/13863.8888889)x 0.00004, P = 0.0008367398 (i divide the 1/ 0.006 to get the 166... and the 1/2 x 0.006 to get the 83...what am i doing wrong?this is my thrid one i finished analytical methods and Engineering science and after this one i will take the Applications Of Pneumatics And Hydraulics,Engineering Thermodynamics,Fluid Mechanics and Heat Transfer And Combustion
 
  • #59
...
 
Last edited:
  • #60
...
 
Last edited:

Similar threads

  • · Replies 2 ·
Replies
2
Views
2K
  • · Replies 4 ·
Replies
4
Views
2K
  • · Replies 9 ·
Replies
9
Views
5K
  • · Replies 3 ·
Replies
3
Views
5K
Replies
2
Views
3K
Replies
39
Views
8K
  • · Replies 45 ·
2
Replies
45
Views
18K
Replies
7
Views
8K
  • · Replies 9 ·
Replies
9
Views
7K
  • · Replies 9 ·
Replies
9
Views
7K